留言板

尊敬的读者、作者、审稿人, 关于本刊的投稿、审稿、编辑和出版的任何问题, 您可以本页添加留言。我们将尽快给您答复。谢谢您的支持!

姓名
邮箱
手机号码
标题
留言内容
验证码

当期目录

2025年 第43卷  第5期

本期导读
2025, 43(5): .
摘要(14) HTML(10) PDF(0)
摘要:
综述
道路标线逆反射性能衰退与长效性能研究综述
冯泽桐, 鲁孝松, 吴浩, 柯文豪, 何锐
2025, 43(5): 1-11. doi: 10.3963/j.jssn.1674-4861.2025.05.001
摘要(23) HTML(9) PDF(9)
摘要:
随着机动车保有量和路网密度的持续增加,道路标线在服役过程中面临性能衰退过快和养护维修不及时等挑战,严重制约其安全功能的持续发挥。因此,针对道路标线长效逆反射性能维持困难与预测不准的核心问题,系统剖析了标线在长期服役中的逆反射性能衰退评价及其性能提升路径。对比分析发现,现有标准体系在长期性能维持方面的要求有待完善,同时传统衰退预测模型在表征交通、气候、材料等多因素作用方面存在局限,其与场景适应性差的缺陷导致预测效能受限。为此,构建基于“机理与数据融合”的可解释人工智能技术是突破现有预测瓶颈的关键路径,其核心在于精准捕捉逆反射亮度系数(retroreflective luminance,RL)的非线性衰减规律,并为养护决策提供可信的量化依据。在性能提升层面,揭示了从“最低初始成本”向“全寿命周期成本最优”转变的必要性,论证了“优质玻璃珠与高性能标线基材”组合在实现长效性能与经济性双重增益上的卓越潜力。采用表面结构创新等特殊结构设计的技术思路,通过改变标线与环境的相互作用模式,为标线寿命与路面寿命的同步提供了可能。未来研究应进一步深化跨学科协同,从预测模型构建、材料体系优化和管理机制创新等方面形成系统解决方案,为提升道路标线长效服役性能与安全保障水平提供坚实支撑。
交通安全
考虑驾驶人行为响应的在途突发事件交通诱导机制
谢世坤, 栾逸, 杨轸, 张志伟, 徐贵龙
2025, 43(5): 12-23. doi: 10.3963/j.jssn.1674-4861.2025.05.002
摘要(17) HTML(5) PDF(5)
摘要:
现有交通诱导策略体系多基于仿真环境下的均质假设,缺乏考虑真实场景下驾驶人行为响应机制,难以适应灾害多发区的应急交通管控需求。以西藏自治区为研究对象,系统分析灾害条件下驾驶人行为特征及其对诱导信息的响应规律,研究了基于事件特征识别和行为响应特征的多灾害场景动态交通诱导策略体系。基于地质灾害与交通阻断数据,采用高斯混合模型(Gaussian mixture model,GMM)识别事件阻断特征与时长分布,将在途突发事件划分为完全阻断型、条件通行型和临时管控型3类。结合驾驶人问卷调查数据,运用Apriori关联规则算法和结构方程模型(structural equation model, SEM)量化驾驶人对信息认知、诱导信息类型、发布位置和等待时长的响应特征。结果表明:信息认知对情景评估、情景评估对行为响应的路径系数分别为0.688(p =0.07)、0.635(p =0.05),诱导信息正向显著影响驾驶人决策行为;驾驶人对连续中断的耐受性阈值为3 h,诱导信息需求呈三级分层特征,较高关注事件类型、拥堵里程及最佳行驶路线等一级信息;短信与二维码组合推送是最有效的信息传递方式。在此基础上,提出“空间分级-时序递进”的动态诱导策略体系,构建路径级(远端绕行)、路段级(节点管控)与临时通行级(短时响应)3类诱导模式,并嵌入应急优先通行机制。基于交通仿真平台对单幅路段封闭的条件通行型事件动态管控策略开展验证分析,显示动态信号管控策略下平均等待时间较人工管控减少21.5%。
考虑行人过街安全的交叉口车路协同控制方法
张功权, 任典, 黄合来, 常方蓉
2025, 43(5): 24-32. doi: 10.3963/j.jssn.1674-4861.2025.05.003
摘要(19) HTML(5) PDF(3)
摘要:
针对混合交通下信号交叉口闯行行多、人车冲突风险高且拥堵延误大的问题,研究了信号灯、智能网联汽车(connected autonomous vehicle,CAV)和行人的协同控制方法。第一阶段,结合保护/禁止右转(protect/prohibit right turning,PPRT)策略,构建面向行人安全的深度强化学习信控框架。状态以车辆与行人的位置和速度矩阵表示,刻画路口的时空态势。动作按行人直行与车辆左/右转拆分相位,以信号层面的时空分离抑制主要人车冲突。奖励采用等待时间差,考虑载客量对效率的影响,并以决斗双重深度Q网络算法求解最优策略。第二阶段,建立行人与CAV的速度规划模型,减少人车交互并降低延误。行人侧根据过街距离与绿灯余长计算可行速度区间,并受加速度与速度约束,考虑人群的服从度与随机扰动。CAV侧在高风险场景时,调整满足安全约束的速度水平,削减冲突发生条件。对左转与直行的CAV进行速度引导,使其平滑通过路口。基于长沙市交叉口场景和交通流数据,构建智能网联交叉口和混合交通场景,在城市交通流仿真工具(simulation of urban mobility,SUMO)进行仿真实验。结果表明,在50% CAV渗透率场景下,本文方法的人车冲突和闯行分别为897次和272次,较PPRT分别降低43.37%和53.7%。人均延误11.61 s,较感应式信号控制、PPRT、深度强化学习信号控制分别减少39.15%、55.03%、13.62%,停车次数降至3 279次。优化效果随CAV渗透率的增加而提升,在0%~25%时,冲突减少16.60%,升至100%时综合指标最优。
快速路交织区汇入行为辨识与交通影响分析
曾岳凯, 李岩松, 吕能超
2025, 43(5): 33-43. doi: 10.3963/j.jssn.1674-4861.2025.05.004
摘要(18) HTML(10) PDF(3)
摘要:
城市快速路交织区的复杂交通行为显著影响通行效率与安全水平。为深入揭示主线与辅路汇入车辆间的微观交互机理,本研究以武汉市珞狮路高架快速路为实证对象,基于1.2 km路段、3.5 h连续采集的大规模高分辨率车辆轨迹数据(时间分辨率0.1 s,空间分辨率0.1 m),系统性地提出并定义了4种交互换道模式:竞争模式、协作-竞争模式、协作模式与竞争-协作模式。创新性地引入安全替代指标(surrogate safety measures,SSMs)进行多维度量化约束,涵盖碰撞时间(time-to-collision,TTC)、跟车时距(GAP)、车辆速度差,以及横向偏移量等关键参数,实现了对车辆纵横向动态及复杂相互作用的全过程刻画。为实现对换道模式的精准、自动化辨识,研究构建并优化了1个基于极端梯度提升(extreme gradient boosting,XGBoost)算法的换道行为辨识模型。在模型构建中,通过对原始数据进行严格筛选,改变了传统研究中对数据约束的模糊性,剔除了前后交叉汇入等干扰数据,最终标定出1 049条典型的稳定汇入案例用于建模。实验结果表明:该模型的准确率达到91.83%,显著优于随机森林、支持向量机等基准模型。进一步的交通流影响规律分析表明,竞争-协作换道模式通过优化车辆间协作与竞争关系,展现出最佳综合效益:跨线行驶时间最短,起始位置更早,目标车道后车最大减速度绝对值最小,TTC值最大,且侧向冲突占比最低。该模式在提升换道效率的同时有效降低冲突风险,为智能交织区管控及协同式自动驾驶决策提供了理论支撑。
山岭重丘区货车交通事故诱因识别与因素关联挖掘方法
单东辉, 刘贤勇, 刘建蓓, 杜豫川, 屈秦洲
2025, 43(5): 44-56. doi: 10.3963/j.jssn.1674-4861.2025.05.005
摘要(20) HTML(14) PDF(2)
摘要:
针对货车交通事故诱因识别难、因素关联影响不清晰等问题,研究了山岭重丘区货车交通事故诱因识别与因素关联挖掘方法。收集了广东省某山岭重丘区货运高速公路1 839起货车事故数据,通过数理统计方法,分析了山岭重丘区货车交通事故时空分布;基于改进的Apriori算法,挖掘了山岭重丘区货车交通事故影响因素的关联规则,得到全要素、自相关、特定维度(时间、道路要素)和事故维度之间共571条关联规则。关联挖掘模型评估结果表明:改进Apriori算法的准确性较传统Apriori算法提升了86.4%;关联规则挖掘结果显示:晴天、纵坡坡度小于2%与轻微事故关联的提升度大于1.0,即:轻微事故主要发生在该组合路段;操作不当、安全距离不足与侧翻和追尾事故的关联提升度大于1.8,即单车的侧翻和追尾主要由该因素导致;坡度-2%~-3%、半径大于1 000 m与重大事故关联的提升度大于1.6,即:重大、特大货车交通事故主要发生在坡度2%~3%、半径大于1 000 m的下坡路段;凌晨01:00—03:00与伤人事故的关联提升度大于1.3,即伤人事故主要集中在凌晨;研究结果揭示了山岭重丘区货车交通事故原因,发现了货车交通事故要素之间的关联性。
民航机场飞行区安全事件致因分析的DEMATEL-ISM-BN模型
韩亚雄, 初良勇, 冯广洪, 刘泉
2025, 43(5): 57-69. doi: 10.3963/j.jssn.1674-4861.2025.05.006
摘要(15) HTML(13) PDF(1)
摘要:
针对机场飞行区安全风险演化路径不清、难以动态预测的问题,研究了集成决策实验室分析、解释结构模型与贝叶斯网络的耦合致因分析模型。基于航空器事件调查报告、文献与专家知识等,构建包含人、机、环、管4个维度的飞行区安全事件致因因素体系。采用改进的决策实验室分析/解释结构模型方法解析致因因素因果关系并构建多级递阶结构:在决策实验室分析阶段融合客观事故致因链与专家判断以提升关系判定的准确性;在解释结构模型层级划分后保留关键跨层级关系,增强网络结构对系统复杂性的刻画能力。将优化后的拓扑映射为贝叶斯网络,通过优化先验概率与条件概率的确定方法,贝叶斯参数估计实现飞行区安全事件概率的正向预测与致因链的逆向诊断。华北地区某机场的实证结果表明:飞行区安全事件先验发生概率为4.26%,证据输入下概率区间为4.38%~14.00%;逆向诊断识别出关键致因链为:部门协调沟通机制不完善→沟通协调配合失误→应急处置失当→飞行区安全事件。与现有研究对比显示,本模型在因素关系识别方面优于依赖问卷的结构方程模型方法,路径逻辑更清晰;在风险推演能力上实现从静态相关分析到动态概率推断的跨越,支持实时预警与根因追溯。案例分析结果与真实事故调查高度吻合,验证模型在飞行区安全管理中具有较高实用价值与可靠性。
考虑样本不平衡性的严重交通事故致因耦合作用分析
王健宇, 董悦, 陈献天, 赵鹏飞, 周备, 那博
2025, 43(5): 70-78. doi: 10.3963/j.jssn.1674-4861.2025.05.007
摘要(17) HTML(12) PDF(3)
摘要:
道路交通事故频发,但基于传统事故严重程度分类的数据比例往往不平衡,为探究样本比例不平衡时多维因素的耦合作用对严重交通事故的影响,研究了1种融合自适应合成采样(adaptive synthetic sampling,ADASYN)算法、Stacking集成学习模型与Apriori算法的分析框架,利用美国交通部2017—2021年道路交通死亡分析报告的数据,从“人、车、路、环境”这4个维度选取15个潜在特征变量,分析多维因素耦合对严重事故的影响。本文利用ADASYN算法进行样本不平衡性处理,选取经典的4类机器学习模型:随机森林(random forest,RF)、分类提升(categorical boosting,CatBoost)、极端梯度提升(extreme gradient boosting,XGBoost),以及梯度提升决策树(gradient boosting decision tree,GBDT)作为基模型,并通过比较5种不同的元模型,即逻辑回归模型、高斯朴素贝叶斯模型、支持向量机、轻量级梯度提升机、多层感知机,筛选出与所选基学习器结合后泛化能力最优的Stacking集成学习模型,随后基于最优模型获取特征重要性排序,筛选出关键因素,并利用Apriori算法对特征进行多维耦合分析,探究五维因素耦合对严重交通事故率的影响。研究表明:①以逻辑回归作为元模型结合RF、CatBoost、XGBoost,以及GBDT作为基学习器构成的集成学习模型效果最优,召回率达0.80;②道路类型、季节、碰撞类型、碰撞时的灯光情况、驾驶人饮酒这5个因素重要性占全部因素总重要性的53.2%,显著高于其他变量,其中严重事故率最高的为碰撞类型特征中的“与树木等杆状物碰撞”,达86.2%。且有光时的严重事故率比无光时的严重事故率提高了13.5%;③多维因素耦合分析发现,自治市道路与驾驶人未饮酒、碰撞时处于无光-有光环境,季节为秋季等多维因素耦合时耦合时发生严重事故的概率最高,置信度达89.0%,打破了未饮酒被认为是低风险因素的常规认知。
交通信息工程与控制
基于前轮转角补偿的牵引车-飞机系统运动学模型及轨迹跟踪控制方法
孙艳坤, 颉鑫龙, 张威
2025, 43(5): 79-92. doi: 10.3963/j.jssn.1674-4861.2025.05.008
摘要:
传统的牵引车-飞机系统运动学模型在低速滑行牵引工况下精度不足,导致轨迹跟踪控制误差大、响应慢,难以满足新型离港方式对轨迹精度和安全性的高要求。为提升运动学模型精度与轨迹跟踪性能,研究了基于牵引车前轮转向角补偿函数的运动学模型补偿方法。以威海广泰AM210无杆牵引车和B737-800飞机为研究对象,先建立传统的牵引车-飞机系统运动学模型,然后将传统运动学模型与Trucksim车辆模型进行开环联合仿真对比分析,通过引入补偿函数来补偿2种模型之间的轨迹偏差,同时设计了基于非线性模型预测控制(nonlinear model predictive control,NMPC)的牵引车-飞机系统轨迹跟踪控制器。以双移线工况作为参考轨迹,搭建MATLAB/Simulink与Trucksim闭环联合仿真模型,并将NMPC控制器与传统比例积分微分控制(proportional integral derivative,PID)的轨迹跟踪控制器进行轨迹仿真对比分析,验证NMPC控制器的优越性。进一步在2 m/s和4 m/s牵引车速度下分别对基于传统、补偿后的运动学模型的NMPC控制器跟踪性能进行评估并且分析存在不同初始偏差下对牵引车-飞机系统轨迹跟踪性能的影响。仿真结果显示:在2 m/s和4 m/s牵引车速度下基于补偿后的运动学模型的NMPC控制器可以使跟踪峰值误差分别降低61.93%和41.63%,均方根误差分别降低56.14%和37.69%。在存在的初始偏差情况下,基于NMPC的轨迹跟踪控制器能够使系统在30 s内完成对初始偏差(横向偏差0.5~1 m、航向角偏差0.05~0.1 rad)的修正,无超调现象。
基于激光雷达的无人驾驶场景行人轨迹预测方法
马庆禄, 李世朋, 张杰, 刘明
2025, 43(5): 93-102. doi: 10.3963/j.jssn.1674-4861.2025.05.009
摘要:
为了提升无人驾驶场景中行人轨迹预测的精度,研究了基于激光雷达点云处理的改进型自适应交互多模型无迹卡尔曼滤波(adaptive interactive multiple model unscented Kalman filter,AIMM-UKF)的预测方法。对原始点云采用点云流式处理技术进行体素网格降采样与基于密度的空间聚类算法(density-based spatial clustering of applications with noise,DBSCAN)分割,提取行人最小外接包围盒质心作为观测输入,有效提升了输入数据的可靠性与实时性;在传统交互多模型无迹卡尔曼滤波(interactive multiple model unscented Kalman filter,IMM-UKF)IMM-UKF基础上引入3层自适应机制:基于似然函数的时变转移概率动态调整模型切换,设计模型权重二次修正因子强化优胜模型并抑制非匹配模型干扰,以及观测噪声协方差随点云密度自适应调节,以应对远距离点云稀疏问题。在园区实车测试场景下,利用VLP-32激光雷达对5~20 m的行人轨迹数据进行验证,实验结果表明:与传统IMM-UKF相比,本文方法总体预测误差降低23.02%,急转向峰值误差降低29.76%;在5~20 m范围内,误差降幅稳定在21%以上,其中20 m距离下预测误差由27.15 cm降至21.26 cm,表现出良好的远距离适应能力。与主流生成式算法(基于图注意力网络的车辆-行人互动轨迹预测模型、多尺度小波变换增强图神经网络、多行人信息融合网络)相比,本文方法的平均位移误差(average displacement error,ADE)为19.3 cm,较最优的多行人信息融合网络算法降低7.21%,同时单帧计算耗时仅62 ms,满足无人驾驶系统对实时性的高要求。该方法在结构化环境中实现了高精度、低延迟的行人轨迹预测,通过点云流式处理与自适应多模型机制的协同优化,有效提升了无人驾驶系统的动态环境感知与行为决策能力。
基于分层架构的智能网联编队-信号联动耦合控制与优化方法
刘彦斌, 宁晓民, 杨爱喜
2025, 43(5): 103-114. doi: 10.3963/j.jssn.1674-4861.2025.05.010
摘要:
为克服现有交通控制方法在处理智能网联车辆(intelligent connected vehicles,ICV)与人工驾驶车辆(human-driven vehicles,HDV)混合流时,难以有效协同车辆编队控制与信号配优的局限,研究了1种“车辆-信号”分层协同控制架构,旨在通过下层ICV跟驰控制与上层信号优化的动态联动,实现道路时空资源的一体化高效分配。在下层控制中,为提升编队行驶的稳定性与鲁棒性,对经典智能驾驶人模型(intelligent driver model,IDM)进行了队列式改进,构建了改进的队列式智能驾驶人模型(platoon IDM, PIDM)。引入了1种多前车状态反馈机制,即跟随车的加速度不仅取决于其前车(immediate predecessor)的状态,同时融合了领头车(leader)的速度与间距信息作为前馈补偿项。该机制通过1个可调权重系数k予以实现,有效抑制了由波传播效应引发的编队串扰震荡。通过李雅普诺夫稳定性理论,严格证明了即使在单车发生短时加速/减速故障而偏离平衡状态时,该反馈机制也能确保整个车队系统渐近恢复至稳定行驶平衡点。在上层控制中,设计了1种与下层编队状态动态耦合的信号优化策略。该策略实现了“ICV专用相位”与弹性绿波协调算法的结合:①为ICV车队提供专属通行时间窗;②基于PIDM实时输出的编队平均速度与到达时间预测,动态调整相序与相位差,生成1条穿越多个路口的不停车“绿波带”,从而最小化ICV车队及后续HDV的停车延误。仿真实验表明:本文的PIDM控制模型可在ICV车队发生短时加速或减速故障并使车队运行状态偏离稳定状态时,使其逐渐恢复至原来的平衡状态。当反馈权重系数k的取值范围为[0.075, 0.125]时,PIDM具有较好的控制效果;当响应延误时间T为0 s时,PIDM可以获得理想的控制效果。随着车队模型中响应延误时间T的增加,系统控制量的振幅与频率均增大,但依然能够维持车队系统的稳定运行。此外,在ICV渗透率80%的场景下,协同控制方案较无专用相位方案提升交叉口总通行能力14.16%,ICV专用道容量提升14.78%。研究结果验证了分层架构在保障HDV通行效率的同时,显著提升ICV时空资源利用率的有效性
高密度立交场景下驾驶人眼动特性的性别差异
陈泳潼, 杨子邈, 王涛, 朱兴林, 徐进
2025, 43(5): 115-127. doi: 10.3963/j.jssn.1674-4861.2025.05.011
摘要:
为了分析高密度立交环境下不同性别驾驶人在驾驶过程中眼动特性的差异,在重庆市东环立交-张家梁高密度立交段开展了38个被试者(其中有1个无效数据)的实车驾驶试验,试验采集了注视点位置、注视持续时间、注视次数、扫视幅度,扫视速度、扫视频率等眼动指标。根据立交行驶的轨迹特征,将驾驶人的行驶过程划分为了驶入主线、驶出主线、主线行驶、辅道行驶4种驾驶工况。利用k-medoids动态聚类方法将驾驶人在高速公路高密度立交的视觉兴趣区划分为7个区域,并且通过马尔科夫链构建注视转移模型,对比分析了不同性别驾驶人眼动特征和注视转移规律。分析结果表明:①驾驶人的注视时间平均值主要分布在100~200 ms,其中注视时间的最大值为299.1 ms,最小值为68.0 ms;②男性与女性驾驶人在注视频率、单次注视时间、扫视幅度和扫视频率等方面存在差异,注视频率最大值男性高于女性,为2.6 n/s,最小值女性低于男性,为0.15 n/s。扫视频率最大值女性高于男性,为7.9 n/s,最小值男性低于女性,为0.8 n/s。男性驾驶人的注视频率较低,单次注视时间较长,扫视幅度和速度较高,女性驾驶人则相反;③在常规净距立交中,男性驾驶人更关注当前车道远处及右侧后视镜,女性驾驶人更注重当前车道近前及左侧后视镜。在小净距立交中,男性驾驶人对当前车道远处和左侧后视镜的关注度更高,女性驾驶人更关注当前车道及左右侧车道前方。在主线/辅道等简单驾驶场景,女性驾驶人会对道路环境观察会更细致,男性驾驶人更关注车辆速度控制和路线规划相关的信息。
基于多尺度空间特征融合的高速公路车道级交通流量预测方法
席宽, 张存保, 李春, 鹿宇鑫, 高思羽
2025, 43(5): 128-136. doi: 10.3963/j.jssn.1674-4861.2025.05.012
摘要:
现有高速公路交通流量预测研究多聚焦于道路断面,未充分考虑同1个断面内不同车道、上下游断面间流量的时空相关特性,且多忽略了流量与速度间的内在联系。以车道断面为对象,研究了基于多尺度空间特征融合的高速公路车道级交通流量预测方法。通过量化计算方法消除上下游断面间的空间时滞影响,降低了上下游交通流量在时序维度上的非对齐性;在空间特征提取方面,将剔除空间时滞影响的流量与速度信息进行整合,利用3个尺度的2通道三维卷积模块与注意力机制动态捕捉流量的车道间局部交互特征、上下游断面的全局传播模式,以及流量与速度间的内在关联;在时序建模上,利用长短期记忆网络同步提取多尺度空间特征变量的全局时间依赖关系,并通过全连接层输出预测结果。采用美国PeMS断面实测数据进行实例验证,结果表明:在单步预测任务中,本文方法的平均绝对误差、均方根误差和平均绝对百分比误差较其他模型平均至少降低了6.61%、5.50%、8.46%;在多步预测中,各步长平均误差最高可降低14.09%、15.25%、29.16%,验证了本文方法在挖掘交通流量多尺度细粒化时空特征方面的有效性,并在预测精度上表现出显著优势。此外,消融实验结果进一步验证了注意力机制与多尺度空间信息协同整合在提升高速公路交通流量预测性能中的关键作用。
基于FL-XGBoost的换道超车驾驶行为生态性评估方法
严利鑫, 邓光阳, 陈青云, 高雅婷
2025, 43(5): 137-146. doi: 10.3963/j.jssn.1674-4861.2025.05.013
摘要:
换道超车作为1个连续且复杂的过程,对能耗有着显著影响。传统生态驾驶研究多聚焦于不区分时段的共性因素(如整体急加速频率),却忽略了驾驶过程中不同时段驾驶行为对能耗的差异化影响。研究了基于焦点损失函数(focal loss,FL)改进的极限梯度提升树(extreme gradient boosting,XGBoost)模型(FL-XGBoost模型),考虑时段异质性,分析不同时段驾驶行为对能耗的差异化影响。结合换道超车过程的动态特征,将换道超车过程划分为4个阶段,并在此基础上划分各阶段驾驶行为数据集。为实现特征空间的降维与关键信息提取,采用随机森林(random forest,RF)与蚁群优化(ant colony optimization,ACO)相融合的混合特征选择策略。此外,针对数据集中类别不均衡导致的模型识别偏倚问题,引入焦点损失函数作为优化目标,替代传统交叉熵损失,从而提升模型的识别鲁棒性与泛化性。结果表明,FL-XGBoost模型性能优于其他基线模型,如支持向量机(support vector machine,SVM)。与未改进的基准XGBoost模型相比,FL-XGBoost的准确率提升3%,F1分数提升5.1%。为进一步揭示影响因素与能耗间的因果关系,采用SHAP解释框架(shapley additive explanations,SHAP)对模型开展可解释性分析。结果表明:2次横向换道阶段的加速时长占比对换道超车全过程的生态性影响最为显著,且换道超车多阶段驾驶操作的生态性特征存在非线性耦合效应。
交通规划与管理
考虑充电排队时延的电车配送路径规划方法
孟芸, 张智文, 代亮, 苟新, 刘赛男
2025, 43(5): 147-158. doi: 10.3963/j.jssn.1674-4861.2025.05.014
摘要:
电车配送中负载以及传动等因素使得耗电呈现非线性,同时充电及排队时延将会影响路径规划的配送效率。针对此问题,研究了应用动态能耗模型的优化充电站选择与充电时间的配送路径规划方法。采用电车动态能耗率(energy consumption rate,ECR)模型,建立与货物载重相关的非线性能耗函数关系。针对电车排队充电过程,基于排队论模型分析电车到达率、服务率以及充电站容量与排队时延(charging queuing delay,CQD)的函数关系。结合上述ECR能耗与CQD时延分析,建立以最小化总行驶时间为目标的路径规划模型,联合访问约束、电车负载约束以及电量约束,以确保模型在多车辆、多任务以及多充电站场景下的可行性与精确性。为了高效求解上述模型,设计了基于深度强化学习(deep reinforcement learning,DRL)的优化算法。其中,针对排队与充电时机决策问题,设计利用充电站实时信息的动态决策算法,以降低DRL模型学习的难度,提高算法的计算效率。最后,通过多尺度算例仿真实验验证所提方法的有效性。实验结果表明:该方法有效优化了充电排队时间,平均减少每车配送总行驶时间0.14 h;与多种典型智能优化算法进行对比实验,对比结果为每车配送总行驶时间平均减少0.52 h,同时算法求解效率提升75.4%。
基于加速度数据的城市地下螺旋匝道驾驶操纵行为分析
郑展骥, 郑礼伟, 饶嘉强, 许宇轩, 凃强
2025, 43(5): 159-168. doi: 10.3963/j.jssn.1674-4861.2025.05.015
摘要:
城市地下螺旋匝道因其复杂的线形与受限的驾驶环境,易引发驾驶人产生心理压抑和时空错觉。为揭示并量化驾驶人在城市地下螺旋匝道的纵向和横向操纵行为特征,选取21名驾驶人在重庆市渝中区解放碑地下环道-洪崖门地下道进行实车驾驶实验。利用微机械式航姿参考系统采集了自然驾驶状态下的纵向和横向加速度数据,分析了螺旋匝道内车辆的纵向加速度概率分布特性和横向舒适性,并采用多元方差分析方法评估了车辆加速度在不同弯道半径及坡度范围下的变化,随后构建了弯道半径、纵坡和纵向/横向加速度的关系度量模型。结果表明:①螺旋匝道的加、减速度实测数据呈正偏态分布,其中上行弯道的加速度分布区间大于减速度分布区间,驾驶人更倾向于加速操纵,而下行弯道和直线段则相反;直线段的减速度偏好值均高于加速度偏好值,并且普通弯道的加、减速度偏好值均高于小半径弯道;②螺旋匝道弯道的纵向加速度变化特征主要表现为入弯降低阶段、中段会发生波动或趋于平缓阶段和出弯增加阶段;上行方向的直线段纵向加速度表现为逐渐增大并趋于平缓,而下行则呈递减后趋于平缓的趋势;③螺旋匝道各个弯道横向加速度均值的特征分位值与峰值的特征分位值之间的差值均在1 m/s2以上,其中左转弯道的行驶舒适性低于右转弯道,但普通弯道的行驶舒适性高于小半径弯道;④纵向加速度、制动减速度和横向加速度受弯道半径和纵坡坡度单独作用的效果均不显著(p >0.05),但受二者耦合作用效果显著(p < 0.001)。
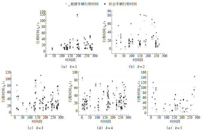
基于张量分解的救援车辆行程时间预测模型
陆水波, 刘至真, 唐峰, 郝威, 李书新, 张兆磊
2025, 43(5): 169-179. doi: 10.3963/j.jssn.1674-4861.2025.05.016
摘要:
救援车辆在城市道路中行驶时具有优先通行权,针对救援车辆的行驶特性预测其在城市道路网络中的行程时间为救援活动开展提供支持,能有效提高救援效率。考虑城市道路交通拥堵状态构建基于张量分解的救援车辆行程时间预测模型(rescue vehicles travel time prediction model based on tensor decomposition, RTPT),该模型框架集成了融合拥堵状态的张量分解算法、救援车辆行驶特性挖掘方法和救援车辆行程时间预测算法。融合拥堵状态的张量分解算法利用车辆轨迹数据构建城市道路行程时间张量,并采用融合拥堵状态的Tucker张量分解算法补全缺失数据;救援车辆行驶特性挖掘方法通过挖掘救援车辆与社会车辆的行驶模式的关联性,构建救援车辆在城市道路路网中的行程时间张量;救援车辆行程时间预测算法构建拥堵概率张量,以道路拥堵概率为权重,预测救援车辆在不同数据稀疏度和不同时间段下的行程时间。将构建的RTPT模型与其他模型进行对比验证模型性能,实验结果表明:RTPT的平均绝对误差与基于驾驶人的道路行程时间估计方法(driver-based road trip time estimation,DRTE)、移动平均法(moving average,MA)、历史平均法(historical average,HA)相比平均分别降低了32.44%、70.66%、74.50%;RTPT的均方根误差和DRTE、MA、HA相比平均分别降低了24.28%、69.73%、74.67%,RTPT在预测范围和数据稀疏性的所有情况下都表现出最小的误差。随着数据稀疏度和预测时段的增加,RTPT的预测误差范围变动基本保持在1 s以内,显示出其良好的稳定性与鲁棒性。RTPT利用拥堵概率张量更好地表述救援车辆行驶特殊性,涵盖了交通路网信息,从而提高了预测精度。
基于DMPC-A*融合的多无人机路径规划算法
赵礼强, 刘雨欣, 王尔申, 徐宝升, 纪贵鹏
2025, 43(5): 180-190. doi: 10.3963/j.jssn.1674-4861.2025.05.017
摘要:
针对复杂三维空域环境中多无人机协同目标跟踪和动态避障的路径规划所面临的效率低、飞行稳定性差的问题,研究了基于分布式模型预测控制(distributed model predictive control,DMPC)与A*搜索算法融合的路径优化方法。利用A*算法生成多无人机的全局初始路径,为各无人机分配合理的目标航迹点,并为无人机提供基本可行的安全航迹。将贝塞尔曲线与DMPC预测模型融合,通过对曲线控制点参数优化实现路径平滑性和航迹连续性的提升,并综合考虑无人机动力学约束、航迹长度约束、安全距离约束及通信条件约束,构建多目标代价函数并采用滚动优化求解,实现航迹的实时动态调整。为平衡航程、威胁、能耗和控制输入等多个代价,重新标定代价权重系数,保证群体飞行的安全性和全局最优性。同时,针对传统集中式模型预测控制(model predictive control,MPC)计算量大、实时性差的问题,采用分布式求解策略,使得每架无人机独立优化控制输入,并通过信息交互实现协同目标跟踪,从而显著降低算法的计算复杂度。实验仿真环境采用5.2 m× 5.2 m×3.0m三维空间,部署10架无人机及不同形状的静态障碍物,通过多个Python程序仿真实验来验证方法的有效性。结果表明:与传统算法相比,本文提出的DMPC-A*融合方法可将路径长度缩短约4.2%,此外,航迹平滑度和稳定性也有所提升。本文算法具备良好的障碍规避能力和环境适应性,为多无人机协同路径规划的研究提供技术支撑。