Advance Search
Display Method:
Intelligent Vehicles Localization Based on Semantic Map Representation from 3D Point Clouds
ZHU Yuntao, LI Fei, HU Zhaozheng, WU Huawei
Abstract(11953) PDF(6534)
Abstract:
In order to improve the accuracy of node localization for intelligent vehicles,an intelligent vehicles localization method based on three-dimensional point clouds semantic map representation is proposed. The method is divided into three parts. Semantic segmentation based on 3D laser point clouds includes ground segmentation,traffic signs segmentation and pole-shaped target segmentation. Semantic map representation for intelligent vehicles uses segmented targets to project. Finally directional projections with weight,semantic roads and semantic codeing are generated. The codeing and global location from high-precision GPS make up representation model. Localization based on semantic representation model includes coarse localization from GPS matching and node localization from semantic coding matching. The experiments are carried out in three road scenes with different length and complexity,and the localization accuracy is 98.5%,97.6% and 97.8%,respectively. The results show that proposed method has high accuracy and strong robustness, which is suitable for different road scenes.
Companion Relationship Discovering Algorithm for Passengers in the Cruise Based on UWB Positioning
YAN Sixun, WU Bing, SHANG Lei, LYU Jieyin, WANG Yang
Abstract(11231) PDF(2979)
Abstract:
To accurately discover the companion relationship among passengers in the interior space of a cruise, UWB positioning is employed in the cruise to carry out on-board personnel location experiment. An improved Haussdorff-DBSCAN based scheme combined with indoor positional semantics is proposed to realize the trajectory clustering of the passenger trajectories, considering the characteristics of the UWB location data. Afterwards, the LSTM neural network is applied to predict the changing similarity of the suspected companions. Traditional Hausdorff algorithm does not consider the consistency of trajectory timing while calculating the trajectory similarity, and the introduction of positional semantic sequence can solve this problem well. In the first phase, the passenger trajectory data set is input to the improved Hausdorff-DBSCAN algorithm, and the clustering radius is determined according to the overall similarity threshold of trajectories. The outputs are the emerging clusters of passenger trajectories in the same companion group. In the second phase, the LSTM neural network takes the point similarity sequence with a fixed time window as the input to predict the point similarity value at the next time. The sequential change of passengers companion relationship is analyzed by the similarity threshold and prediction results. The validity of the presented algorithm is demonstrated by the trajectory data obtained from the passengers simulation on one deck of the cruise under study, which is modeled in Anylogic. The results indicate that the precision of the proposed algorithm reaches 0.92, the recall value reaches 0.95 and the F1 value is 0.934, which are at least 5.7 percent, 8.0 percent and 6.7 percent higher than the comparing algorithm. The LSTM neural network also shows a promising effect in predicting the changing trend of the similarity, for the loss is at a stable level of 3 to 4 percent.
Data Association Method Based on Descriptor Assisted Optical flow Tracking Matching
XIA Huajia, ZHANG Hongping, CHEN Dezhong, LI Tuan
Abstract(6038) PDF(1255)
Abstract:
in the view of the problem that the positioning accuracy of visual inertial odometer using multi-state constrained Kalman filter(MSCKF) is easily affected by the abnormal value of feature point matching, a data association method based on descriptor assisted optical flow tracking matching is proposed. This method uses pyramid LK optical flow to track and match the feature points in the sequence image, then calculates the rbrief descriptor of each pair of matching points, judges the similarity of the descriptor according to the Hamming distance,and eliminates the abnormal matching points. In the experiment, the effectiveness of the proposed method is evaluated from two aspects:the subjective effect of feature point matching and positioning accuracy. The results show that the proposed method can effectively filter the abnormal values of image feature matching in dynamic scene. The image processed by this method is used for msckf motion solution,and the drift rate of position result is less than 0.38%, compared with the result of msckf algorithm without eliminating abnormal matching values,The improvement is 54.7%, and the single frame image processing time is about 39 ms.
Indoor Sign-based Visual Localization Method
HUANG Gang, CAI Hao, DENG Chao, HE Zhi, XU Ningbo
Abstract(12713) PDF(1536)
Abstract:
To solve the problem of localization calculation of intelligent vehicles and the mobile robot in the indoor traffic environment, by exploiting kinds of signs which existed in the indoor environment, a visual localization method is proposed through using BEBLID (Boosted Efficient Binary Local Image Descriptor) algorithm. The proposed method enforces the ability to characterize the whole image by improving the classic BEBLID. In this paper, the localization method consists of an offline stage and an online stage. In the offline stage, a scene sign map is created. In the online stage, the calculation progress is divided into 3 parts, which include holistic and local BEBLID method from current image and image in the scene sign map, closet sign site and closet image calculation by using KNN method, metric calculation by using coordinate information which is stored in the scene sign map. The experiment is conducted in three kinds of indoor scenes, including a teaching building, an office building, and an indoor parking lot. The experiment shows the scene sign recognition rate reached 90%, and the average localization error is less than 1 meter. Compared with the traditional method, the proposed method improves about 10% relative recognition rate with the same test set, which verified the effectiveness of the proposed method.
A Cooperative Map Matching Algorithm Applied in Intelligent and Connected Vehicle Positioning
CHEN Wei, DU Luyao, KONG Haiyang, FU Shuaizhi, ZHENG Hongjiang
Abstract(13040) PDF(1379)
Abstract:
In order to achieve low-cost and high-precision vehicle positioning in the intelligent and connected environment,a cooperative map matching algorithm based on adaptive genetic Rao-Blackwellized particle filter is studied in this paper,improving the accuracy of vehicle positioning by using the real-time location data and road constraints of other connected vehicles. The adaptive genetic algorithm is introduced into the re-sampling process of the particle filter to increase the diversity of particles,so as to solve the problems of "particle degradation" and "particle exhaustion" that are prone to appear in traditional particle filter algorithms. Model of the algorithm is established and simulated. The positioning results under the traditional particle filter and Kalman smooth particle filter are compared,and the influence of the number of different connected vehicles on the positioning accuracy is analyzed. The experiment is completed in real-world and the performance of the algorithm is verified. The experimental results show that taking a typical intersection with four connected vehicles as an example,the range of position error of cooperative map matching is 1.67 m. It is only 41.03% and 56.80% of the traditional GNSS and the single map matching positioning results. At the same time,the circular error probable(CEP) of this algorithm is 1.06 m, which is 2.52 m higher than raw GNSS positioning result.
MORE>
Display Method:
2025, 43(3): .  
Abstract(0) HTML(0) PDF(0)
Abstract:
Research Hotspots and Prospects of NSFC-Civil Aviation Joint Research Fund in Recent 20 Years
SUN Liang, ZOU Jianxin, HU Xinqiang
2025, 43(3): 1-9.   doi: 10.3963/j.jssn.1674-4861.2025.03.001
Abstract(0) HTML(0) PDF(0)
Abstract:
The NSFC-Civil Aviation Joint Research Fund serves national strategic needs, focuses on fundamental research for civil aviation applications, promotes scientific and technological innovation, and supports industry development through its research outcomes. To systematically understand the topic evolution of the NSFC-Civil Aviation Joint Research Fund projects, a text mining method combining word frequency analysis and latent Dirichlet allocation (LDA) topic modeling is applied to analyze the topic selection guidelines and project approvals from 2004 to 2023. The study reveals the keyword characteristics of the guidelines, analyzes research hotspots and their evolutionary trends, and provides the research prospects of civil aviation. The results indicate that: ①The NSFC-Civil Aviation Joint Research Fund exhibits distinct phases and attracts diversified research forces. ②The guidelines are highly consistent with national policies and strategic development directions. Keywords such as civil aviation, airport, aircraft, safety, emergencies, and NextGen have frequently appeared in the guidelines over the past 20 years, while low-altitude operation may emerge as a new hotspot in future. ③The fund mainly focuses on 11 research topics, including aircraft airworthiness, airport construction and operation, air traffic management and optimization, aviation safety and risk management, emergencies and emergency management, green aviation, and so on. ④Four topics including aircraft airworthiness, airport construction and operation, air traffic management and optimization, and aviation safety and risk management have remained hot in the past 20 years. The research hotspots in civil aviation are shifting from traditional infrastructure construction and safety technology fields to emerging fields such as informatization, intelligence, and green development. The trend is also moving from single-discipline dominance to multidisciplinary integration. Looking ahead, the future NSFC-Civil Aviation Joint Research Fund is expected to focus on constructing a digital intelligence ecology, enhancing system-wide safety, and promoting green development. By fostering multifaceted synergistic cross-fertilization and developimg an autonomous knowledge system, it aims to drive the high-quality development of civil aviation.
A Knowledge Graph of Ship Collision Prevention and Control Based on Multi-source Heterogeneous Information
YU Hongchu, GUO Zheng, WEI Tianming, XU Lei, FANG Qinglong
2025, 43(3): 10-23.   doi: 10.3963/j.jssn.1674-4861.2025.03.002
Abstract(0) HTML(0) PDF(0)
Abstract:
Traditional research on water transportation accidents mainly focuses on exploring the causative factors and corresponding complex relationship with various accidents, which is insufficient in reflecting the evolution of traffic accidents and the complicated interactions between elements including people, vessels, cargo, environment, administration, and information in the maritime system. To fill the gap, this paper proposes a methodology for developing a water transportation knowledge graph based on multi-source heterogeneous information and applies it to the accident prevention and control strategies development. A framework for ship collision knowledge is designed, considering the components of accidents, e.g., event, spatiotemporal ship behavior, maritime accidents causative factors, accidents consequences, corresponding responsibility roles, and disposal decision-making. A knowledge extraction model is employed to extract the maritime safety knowledge, which is based on Chinese Bidirectional Encoder Representations from Transformers Whole Word Masking and is named as Chinese-bert-wwm model. Thirdly, the SCPCKG (ship collision prevention and control knowledge graph) is developed based on the Neo4j database, which contains 35 784 entities from 15 entity types and 325 097 relationships from 39 relationship types. The scale of the SCPCKG is significantly larger than that of existing knowledge graphs in the field of water transportation, and the accuracy of automated knowledge extraction based on the proposed SCPCKG reaches 85%, which is higher than the existing models, such as Hidden Markov Models (HMMs) and Conditional Random Fields (CRFs). Specifically, the F1 -score value for identifying"ship", "person characteristics", "time", "person", and"laws"entities reaches 95%, 91%, 98%, 88%, and 88%, respectively; the F1 -score value of relationship extraction reaches 94%. The results show that the proposed Chinese-bert-wwm model can enhance the generalized capability of the knowledge extraction model by extracting the semantic features of ship collision accidents from the accident reports, and the proposed SCPCKG can be used for the knowledge representation of ship collision accidents and inversion of accidents for maritime administrators, improving the effectiveness of the water transportation management.
A Method of Full Section Surface High-speed Sensing for Track Safety Inspection
DING Jianlong, JIN Hui, LI Zhaoxin, CHENG Zhiquan, SONG Tianhao, XU Haoxuan
2025, 43(3): 24-32.   doi: 10.3963/j.jssn.1674-4861.2025.03.003
Abstract(0) HTML(0) PDF(0)
Abstract:
Inspection of rail transit safety includes many elements. Methods based on a single image cannot perceive the details of the entire track section quickly. Multi-image stitching is greatly affected by the turning and swinging of the inspection vehicle, and the exposure conditions of different cameras result in significant brightness deviations, which reduces the accuracy of the identification of diseases. A full section surface sensing method for track inspection based on multiple line array images is proposed to address the above issues. A checkerboard calibration board is used to establish a rigid connection relationship between each camera, and the horizontal and vertical resolutions are adjusted to be equal. An invariant feature of tracks is established based on the edges of track surface and bottom to calculate the deviation of straight, curved, and swinging sections. Improved YOLO v10 algorithm is used to automatically extract the above feature. An improved histogram matching method is used to restore the overall brightness and achieve uniform transition at the joint of images based on the statistical characteristics of the forward direction and constrained by the two sides of the tracks with little brightness difference. Data collection is conducted at a certain section of Wuhan Metro and Wuhan Railway Bureau, with inspection vehicle running at speeds of 10, 40, 60, 80, and 120 km/h. The restoration method for image offset based on improved YOLO v10 reaches an average error of 11.21 pixels, with a precision rate of 95.20%, a recall rate of 93.58%, and an average accuracy of 84.03%, in which the recall rate has an increasing of 0.51%, and a pass rate of 99.43 % for 80 km. The mean difference between the overall image and the constrained image after brightness adjustment is 0.682, and the standard deviation is only 0.344, which are improved by 61.38% and 83.38% respectively compared to existing methods. The experimental results show that the proposed surface detail perception method for track safety inspection can obtain high-resolution images of the entire track section with a position error of less than 4.5 mm and a grayscale error of less than 1.71 under high-speed condition, greatly improving the efficiency of track safety inspection.
Deep Mining and Association Recommendation Method for Railway Safety Knowledge Based on Multimodal Information Fusion
GAO Li, YANG Nuohan, LI Qing, WANG Yongheng, YAN Han, ZHAO Ruhao, MA Xiaoping
2025, 43(3): 33-43.   doi: 10.3963/j.jssn.1674-4861.2025.03.004
Abstract(0) HTML(0) PDF(0)
Abstract:
The rapid digital and intelligent transformation of railway information systems has created an urgent demand for fine-grained, explainable safety knowledge recommendations. To address the fragmentation of cross-modal associations and insufficient alignment with operational rules exhibited by traditional approaches, a framework integrating multimodal feature fusion with generative reasoning is investigated. A hierarchical railway safety knowledge graph is constructed, and topological features under business constraints are extracted via the Node2Vec algorithm. Simultaneously, a lightweight Transformer encoder (GTE) captured deep semantic embeddings of individual safety clauses. To balance contributions from graph and text features, a tunable weighting strategy is introduced, dynamically controlling the fusion ratio of text vectors and graph embeddings and applying a dual-constraint mechanism based on cosine similarity and predefined rules to generate candidate recommendations. A three-stage progressive retrieval architecture is designed to achieve precise multimodal alignment and suppress noise. Finally, the DeepSeek-R1 large language model served as the reasoning engine, with domain-specific prompting converting retrieved candidates into executable decision plans, thereby enhancing coherence and interpretability. Experiments on 27 safety documents from a railway operator, using a similarity threshold of 0.85 and a maximum of 10 recommendations per query, demonstrated a recommendation accuracy of 95% (an 8-percentage-point improvement over traditional methods) along with significant gains in contextual relevance and explainability. This investigation confirms the synergistic benefits of multimodal retrieval and generative reasoning, providing a robust technical foundation for evolving railway safety knowledge services from precise recommendation to intelligent decision support.
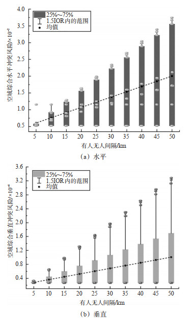
An Analysis and Identification Methods of Dangerous Driving Behavior Characteristics at Highway Tunnel Entrances and Exits
LIU Tangzhi, PAN Yihan, LIU Xingliang, LIU Yuanqiang, BAI Zhiyuan
2025, 43(3): 44-54.   doi: 10.3963/j.jssn.1674-4861.2025.03.005
Abstract(0) HTML(0) PDF(0)
Abstract:
Dangerous driving behaviors frequently occur at highway tunnel entrances and exits, posing a high risk of traffic accidents. To address the challenge of ineffective driving risk assessment caused by the inability to continuously monitor trajectory data at tunnel transition zones, this study designs a radar-video fusion trajectory sampling system with a monitoring range covering 250 meters inside and outside the tunnel portal. A dangerous driving behavior identification method based on feature parameter optimization is proposed. Based on trajectory data at tunnel entrances and exits, the characteristics of driving behavior in these zones are analyzed, and four types of dangerous driving behaviors including sudden acceleration or deceleration, serpentine driving, high-risk car-following, and aggressive lane-changing, are selected to construct a dangerous driving behavior spectrum. A risk quantification method is used to measure indicators of the four dangerous driving behaviors, and the interquartile range (IQR) method is applied to set threshold boundaries for the feature parameters. Based on these thresholds, driving risk points exceeding the boundary values are identified and visualized, and the spatial distribution characteristics of the four types of dangerous driving behaviors are preliminarily obtained. To balance the dataset, random oversampling (ROS), synthetic minority oversampling technique (SMOTE), and adaptive synthetic sampling (ADASYN) are used for sample preprocessing. Three ensemble learning methods: eXtreme gradient boosting (XGBoost), light gradient boosting machine (LGBM), and adaptive boosting (AdaBoost), are orthogonally combined with the above sampling methods to construct balanced-ensemble coupled algorithms. A total of 12 dangerous driving behavior recognition models are established, including those based on single ensemble learning algorithms and orthogonally combined balanced-ensemble algorithms. The performance differences among various models are validated through model testing to determine the optimal recognition model. Spearman correlation analysis is employed to identify key parameters and enhance model recognition performance. The research results indicate that due to the complex traffic environment and fluctuating driver behaviors, highway tunnel entrances and exits are high-risk zones for traffic accidents. Among the three single-modality ensemble models and nine balanced-ensemble coupled models evaluated, the SMOTE-LGBM coupled model based on sample optimization demonstrates superior recognition performance for dangerous driving behaviors in tunnel transition zones. Its precision, F-score, and AUC values range from 91.2% to 91.4%, 0.913 to 0.918, and 0.907 to 0.912, respectively, outperforming other algorithms and maintaining consistently high levels.
An Optimization Method for Joint Control of Merging Zones in Urban Tunnels of Considerable Length
LYU Nengchao, HAO Yilin, YANG Ge, XIE Tian
2025, 43(3): 55-65.   doi: 10.3963/j.jssn.1674-4861.2025.03.006
Abstract(0) HTML(0) PDF(0)
Abstract:
To address traffic congestion at merging zones in urban tunnels of considerable length, an optimization method for joint control that integrates variable speed limits in mainlines and signal control at ramps is proposed. A four-level control strategy is developed based on the combination of different traffic states in merging bottleneck area and downstream section. The traditional meta network (METANET) model is modified by comprehensively considering ramp inflow, speed differences among sections, and driver compliance. Meanwhile, the classical ALINEA algorithm is extended by introducing a control mechanism for queue capacity at ramps, enabling the integration of variable speed limits and ramp signal control. On this basis, a model predictive control approach is employed to optimize speed limits and ramp signal timings under different traffic states. Using the VISSIM simulation platform, the scenario of Lianghu Tunnel in Wuhan is developed, which allows to acquire and control the traffic parameters in real-time through the COM interface and secondary development with Python. Various control strategies are compared, including dynamic variable speed limits, ramp signal control, and joint control. Simulation results show that: ①Compared to the situation with no control, the proposed joint control strategy reduces travel time in the bottleneck area by 17.7% and decreases the average delay time per vehicle by 62.96%. ②Compared to single control strategy, the joint control strategy significantly improves average speed and stability of traffic flow, with especially notable effects under heavy congestion conditions. ③Under the joint control strategy, the minimum average speed at road sections increases by 20.38%, the duration of slow traffic in the bottleneck area and at the downstream section decreases by 22.2%, and both the spatial scope and duration of low-speed regions are significantly reduced with a substantial decrease in speed fluctuations. When facing various complex traffic flow conditions, the joint control strategy demonstrates good dynamic adaptability, automatically adjusting the control strength of the mainline and ramp according to the flow structure, thus achieving a rational distribution of traffic load in the bottleneck area.
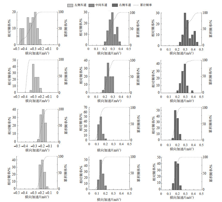
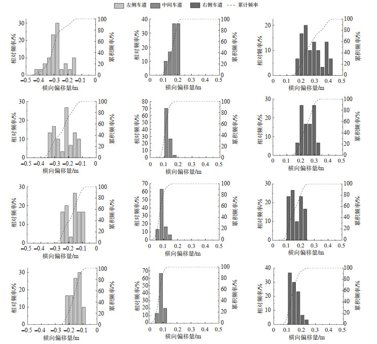
A Study on the Influence of Side Wall Effect of Urban Tunnel on Driver's Eye Movement and Behavior Characteristics
YI Xuanxuan, PAN Ting, HE Shiming
2025, 43(3): 66-73.   doi: 10.3963/j.jssn.1674-4861.2025.03.007
Abstract(0) HTML(0) PDF(0)
Abstract:
To investigate the influence of tunnel sidewalls on drivers' visual characteristics and driving behavior across different lanes in a three-lane urban tunnel, a field driving experiment was conducted involving 25 drivers. Both visual and driving behavior indicators were collected. Visual indicators included gaze distribution ratios and gaze entropy values, reflecting drivers' attention allocation strategies. Driving behavior indicators, such as lateral offset and lateral acceleration, were used to evaluate drivers' lateral vehicle control ability. The results showed significant differences in attention allocation strategies and lateral control capabilities among drivers in different lanes. Compared with the middle lane, drivers in the left and right lanes allocated more attention to the sidewall on their respective sides. Specifically, drivers in the right lane allocated approximately 12% of their attention to the right tunnel wall, while drivers in the left lane allocated nearly 15% to the left wall. In contrast, drivers in the middle lane only allocated about 5% of their attention to either sidewall. Drivers' behavioral responses to the tunnel sidewalls also varied significantly across lanes. Vehicles in the left lane typically deviated from 0.25 to 0.34 meters to the right of the lane centerline, with lateral acceleration ranging from 0.17 to 0.21 m/s2. In the middle lane, vehicles tended to shift slightly to the left, with lateral offsets of 0.12 to 0.19 meters and lateral acceleration between 0.08 and 0.13 m/s2.Similarly, vehicles in the right lane also exhibited leftward deviation, with offsets ranging from 0.17 to 0.24 meters and lateral acceleration between 0.14 and 0.20 m/s2. Overall, the tunnel sidewalls had the greatest impact on the visual search efficiency and lateral control ability of drivers in the left lane, making it the lane with the highest driving risk, followed by the right lane, while the middle lane posed the lowest risk.
MORE>
Intelligent Vehicles Localization Based on Semantic Map Representation from 3D Point Clouds
ZHU Yuntao, LI Fei, HU Zhaozheng, WU Huawei
[Abstract](11953) [PDF 4082KB](432)
Abstract:
In order to improve the accuracy of node localization for intelligent vehicles,an intelligent vehicles localization method based on three-dimensional point clouds semantic map representation is proposed. The method is divided into three parts. Semantic segmentation based on 3D laser point clouds includes ground segmentation,traffic signs segmentation and pole-shaped target segmentation. Semantic map representation for intelligent vehicles uses segmented targets to project. Finally directional projections with weight,semantic roads and semantic codeing are generated. The codeing and global location from high-precision GPS make up representation model. Localization based on semantic representation model includes coarse localization from GPS matching and node localization from semantic coding matching. The experiments are carried out in three road scenes with different length and complexity,and the localization accuracy is 98.5%,97.6% and 97.8%,respectively. The results show that proposed method has high accuracy and strong robustness, which is suitable for different road scenes.
Companion Relationship Discovering Algorithm for Passengers in the Cruise Based on UWB Positioning
YAN Sixun, WU Bing, SHANG Lei, LYU Jieyin, WANG Yang
[Abstract](11231) [PDF 1759KB](326)
Abstract:
To accurately discover the companion relationship among passengers in the interior space of a cruise, UWB positioning is employed in the cruise to carry out on-board personnel location experiment. An improved Haussdorff-DBSCAN based scheme combined with indoor positional semantics is proposed to realize the trajectory clustering of the passenger trajectories, considering the characteristics of the UWB location data. Afterwards, the LSTM neural network is applied to predict the changing similarity of the suspected companions. Traditional Hausdorff algorithm does not consider the consistency of trajectory timing while calculating the trajectory similarity, and the introduction of positional semantic sequence can solve this problem well. In the first phase, the passenger trajectory data set is input to the improved Hausdorff-DBSCAN algorithm, and the clustering radius is determined according to the overall similarity threshold of trajectories. The outputs are the emerging clusters of passenger trajectories in the same companion group. In the second phase, the LSTM neural network takes the point similarity sequence with a fixed time window as the input to predict the point similarity value at the next time. The sequential change of passengers companion relationship is analyzed by the similarity threshold and prediction results. The validity of the presented algorithm is demonstrated by the trajectory data obtained from the passengers simulation on one deck of the cruise under study, which is modeled in Anylogic. The results indicate that the precision of the proposed algorithm reaches 0.92, the recall value reaches 0.95 and the F1 value is 0.934, which are at least 5.7 percent, 8.0 percent and 6.7 percent higher than the comparing algorithm. The LSTM neural network also shows a promising effect in predicting the changing trend of the similarity, for the loss is at a stable level of 3 to 4 percent.

Journal of Transport Information and Safety

(Founded in 1983 bimonthly )

Former Name:Computer and Communications

Supervised by:Ministry of Education of P. R. CHINA

Sponsored by:Wuhan University of Technology
Network of Computer Application Information in Transportation

In Association With:Intelligent Transportation Committee of China Association of Artificial Intelligence

Editor-in-Chief:ZHONG Ming

Edited and Published by:Editorial Office of Transport Information and Safety

Address:No. 1178,Heping Avenue, Wuchang, Wuhan, CHINA

Postcode:430063

Tel:027-86580355

E-mail:jtjsj@vip.163.com

Website:http://www.jtxa.net/

Postal Code:38-94

Domestic Issue:
CN 42-1781/U

Publication No.:ISSN 1674-4861

Indexed In
  • Chinese Core Journal in “Integrated Transportation” category
  • Chinese Science Citation Database (CSCD)
  • Core Science and Technology Journals
  • Chinese Scientific and Technological Papers and Citations (CSTPCD)
  • Class A of Research Center for Chinese Science Evaluation (RCCSE)
  • Chinese Academic Journal Comprehensive Evaluation Database (CAJ-CED)
  • Chinese Core Journals (Selection) Database
  • Chinese Scientific and Technological Periodicals Database
  • China National Knowledge Infrastructure (CNKI)
  • Chinese Academic Journals (CAJ-CD)
  • Chinese Lifelong Education Academic Research Database
  • Japan Science and Technology Agency (JST)
  • World Journal Clout Index Report (2020 STM)