留言板

尊敬的读者、作者、审稿人, 关于本刊的投稿、审稿、编辑和出版的任何问题, 您可以本页添加留言。我们将尽快给您答复。谢谢您的支持!

姓名
邮箱
手机号码
标题
留言内容
验证码

2021年  第39卷  第2期

征稿
2021, 39(2). doi: 10.3963/j.issn.1674-4861.2021.02.020
摘要:
综述
基于避碰规则自动驾驶船舶路径优化的研究进展
徐笑锋, 肖英杰, 章学来
2021, 39(2): 1-8. doi: 10.3963/j.jssn.1674-4861.2021.02.001
摘要(1513) HTML (675) PDF(77)
摘要:
在人工智能与大数据背景下, 自动驾驶船舶因其安全、高效的优势吸引了国内外学者的广泛关注。但其避碰相关法律条例与避碰路径规划发展并不均衡。自动驾驶船舶概念在规范条例中仍十分模糊, 传统的路径优化与算法存在一定的偏差, 只局限于全局规划或局部规划无法有效的保障船舶行驶安全性。基于避碰规则梳理了自动驾驶船舶的相关规范, 分析了最新的自动驾驶船舶路径优化研究成果, 阐述了当下自动驾驶船舶路径规划的模型, 包括智能算法.规划目标与约束条件等。针对当下仍存在的自动驾驶船舶避碰问题, 应从定义、监管、责任划分等方面完善自动驾驶船舶法律法规体系, 改良传统避碰路径规划算法容易陷入局部最优解﹑求解过程缓慢等缺陷, 展望了自动驾驶船舶的进一步发展趋势。
高速公路交通标志的认知及评价综述
王仁杰, 周晓宏
2021, 39(2): 9-18. doi: 10.3963/j.jssn.1674-4861.2021.02.002
摘要(1097) HTML (608) PDF(53)
摘要:
交通标志作为高速公路与驾驶人进行信息交流的纽带, 是道路交通必不可少的一部分。目前关于交通标志的研究已取得一定的成就, 但在某些方面仍存在不足之处。为此从视认性, 识别率、驾驶人理解能力以及驾驶水平4个方面分析交通标志认知的影响因素; 将有效性评价分为定量评价方法以及定性定量结合的评价方法。并从这2个角度对目前的研究进行综述和评论, 结果表明, 高速公路与城市道路的差异较大, 应考虑二者不同处, 对高速公路交通标志认知的影响因素进行研究; 由于每个信息中含有的信息量不同, 建议引入信息理论, 得出准确的信息量阈值; 未来需加强不同学科的交叉融合, 建议将统计概率模型与认知模型结合起来, 建立新的认知模型; 驾驶补偿策略和交感神经的兴奋范围是未来重点的研究方向; 交通标志大多是以组合的形式出现, 未来需要开展对交通标志组的研究。
交通安全
智能汽车对无信号交叉口行人的避撞控制
潘洺铭, 孙宇波, 刘强
2021, 39(2): 19-27. doi: 10.3963/j.jssn.1674-4861.2021.02.003
摘要(992) HTML (504) PDF(43)
摘要:
针对智能汽车在无信号交叉口对横穿行人的避撞问题,研究了主动转向避撞控制策略。基于多层模型预测控制方法,采用分层控制策略设计局部规划层控制器与全局跟踪层控制器,在此基础上根据交叉口处汽车与行人的轨迹特征计算人车碰撞剩余时间,改进传统人工势场法构造避撞函数,规划出既能规避交叉口内存在碰撞风险的行人又能使偏差最小的局部避撞路径,并使智能汽车在满足多项动力学约束时准确跟踪参考路径,通过搭建CarSim/Simulink联合仿真平台,结合广东省2006—2018年交通事故数据库选取对交叉口人车碰撞有显著影响的因素,设计仿真场景进行仿真分析。结果表明:智能汽车能在多个初始点完成对参考路径的跟踪,控制器对不同速度和附着条件有较高的鲁棒性,高速低附着场景中,智能汽车横向加速度小于0.4 g、质心侧偏角小于2°、前轮侧偏角小于2.5°,各约束量满足舒适性和平稳性条件;4个典型交叉口场景中,智能汽车以不同速度直行或转弯通过交叉口,均能识别横穿行人中存在碰撞风险的行人实现主动转向避撞。
基于侧向稳定性的圆曲线路段设计指标研究
张航, 储泽宇, 吕能超, 段和柱
2021, 39(2): 28-35. doi: 10.3963/j.jssn.1674-4861.2021.02.004
摘要(697) HTML (410) PDF(17)
摘要:
车辆在附着系数较小的圆曲线路段转向时,轮胎会处于非线性区内工作,此时基于线性理论的侧向稳定性分析方法会产生较大误差。建立6自由度非线性车辆系统模型,分析其处于非线性域与线性域下不同的特性状态,得到不同车速、路面附着系数下使车辆系统处于临界状态的圆曲线路段半径、超高设计指标。对线性域与非线性域内的车辆系统分别采用基于线性理论的根轨迹法与基于非线性理论的相平面法分析侧向稳定性,得到综合考虑2种状态下车辆临界失稳状态的圆曲线路段指标。结果表明,车速为60 km/h,路面附着系数为0.24,超高小于6% 时,车辆发生侧向失稳时轮胎处于非线性域,此时使用相平面法分析得到侧向失稳临界指标;车速为60 km/h,路面附着系数为大于0.4,超高处于4%到10%之间时,车辆发生侧向失稳时轮胎处于线性域,此时使用根轨迹法分析得到侧向失稳临界指标。
基于交通流理论的山岭隧道接近段停车视距修正计算
梁波, 李硕, 钟升明, 蒲俊勇
2021, 39(2): 36-42, 52. doi: 10.3963/j.jssn.1674-4861.2021.02.005
摘要(758) HTML (527) PDF(17)
摘要:
速度是停车视距中最重要的计算参数,而现有停车视距模型的修正计算中较少考虑山岭隧道交通环境对车辆行驶速度的影响。为研究山岭隧道接近段速度流量特性,选取重庆具有代表性的4条山岭隧道开展交通观测现场实验。利用山岭隧道接近段车速和车流量数据,分析车流量和速度的时空特性分布规律与统计学关系,建立山岭隧道接近段车速和流量关系模型的函数表达式,推导基于流量与速度特性的山岭隧道接近段停车视距公式,并与相关标准和规范的取值进行比较,揭示其变化规律。结果表明,山岭隧道接近段车速呈现先减小后增加的变化规律;车流量与车辆行驶速度显著相关,经拟合得到拟合判定系数R2=0.9的速度流量模型;相同速度下,修正后停车视距计算值约为规范计算值的1.07~1.21倍;修正值与规范值的差值随车速增大而增大,修正后的停车视距长度至少可满足70%驾驶员的需求。在相应规范的基础上,考虑交通量对停车视距中速度的影响,提高山岭隧道接近段行车安全水平。
基于反应时间的公路隧道接近段停车视距研究
文森, 梁波, 肖尧, 蒲俊勇
2021, 39(2): 43-52. doi: 10.3963/j.jssn.1674-4861.2021.02.006
摘要(944) HTML (511) PDF(26)
摘要:
反应时间是停车视距的1个重要影响因素,现有的停车视距模型较少考虑公路隧道洞外环境对驾驶员反应时间的影响。为研究公路隧道接近段的反应时间分布特性,选取25名驾驶人开展在公路隧道洞外不同距洞口距离、测试时刻和植被面积占比等条件下的室内仿真试验。利用公路隧道反应时间测量试验平台采集驾驶人的反应时间,应用重复测量方差分析对数据进行差异性显著检验,构建测试时刻、距洞口距离和反应时间关系度量模型,并在此基础上修正现有停车视距模型并进行验证。结果表明:①不同测点(距洞口距离)对应的反应时间存在总体显著性差异,反应时间随距洞口距离的减小呈先减小后增大的趋势,其中距离洞口40~60 m时反应时间达到最小;②不同植被面积占比对应的反应时间没有总体显著差异;③不同测试时刻对应的反应时间存在总体显著性差异,且测试时刻与测点间没有交互作用,反应时间随测试时刻增加呈先减小后增加的趋势,在16:00反应时间达到最小;④基于反应时间建立的新停车视距模型的校正系数为0.62,其计算值小于规范计算值,二者差值随设计速度的增加而增大;⑤经过新隧道实测值的验证,模型的预测值和实测值无显著差异,说明模型具有较好的预测能力。
基于社交网络数据的交通突发事件识别方法
刘昭, 何赏璐, 刘英舜
2021, 39(2): 53-60. doi: 10.3963/j.jssn.1674-4861.2021.02.007
摘要(1004) HTML (473) PDF(36)
摘要:
为了从社交网络数据中挖掘出交通突发事件,研究了基于机器学习的文本识别方法。通过关键词和地点定位,利用网页爬虫“Beautiful Soup”爬取到原始文本。采用正则匹配、重复度计算以及“0-1”标记预处理原始文本。基于预处理后文本特征,研究了基于特征权重的特征词选取方法;其中,特征权重的计算综合了词语的出现频率和含有该词语的文本所占比例,通过将二者归一化并加权合并,获得训练集突发事件文本中各个无重复词语的特征权重;依据此值选择确定特征词,并用于后续分类器的输入。测试对比了不同的分类器以及特征词选择方法,结果表明,所提特征词选取方法与XGBoost分类器结合,在交通突发事件识别上具有最好的综合表现,精确率为0.679 6,召回率为0.648 1,F1值为0.663 5,AUC值为0.759 4。
交通信息工程与控制
航拍视频车辆检测目标关联与时空轨迹匹配
冯汝怡, 李志斌, 吴启范, 范昌彦
2021, 39(2): 61-69, 77. doi: 10.3963/j.jssn.1674-4861.2021.02.008
摘要(1182) HTML (888) PDF(101)
摘要:
高解析度轨迹数据蕴含丰富车辆行驶与交通流时空信息。为从航拍视频中提取车辆轨迹,构建了车辆检测目标跨帧关联与轨迹匹配融合方法。采用卷积神经网络YOLOv5构建视频全域车辆目标检测,提出车辆动力学与轨迹置信度约束下跨帧目标关联算法,建立了基于最大相关性的断续轨迹匹配与融合构建算法,实现轨迹车辆唯一编号。将轨迹从图像坐标转换为车道基准下Frenet坐标,构建集合经验模态分解(EEMD)模型进行轨迹数据噪声消除。采用南京市快速路无人机拍摄的2组开源航拍视频,涵盖拥堵与自由流交通状态,对轨迹提取算法进行效果测试。结果表明,在自由流和拥挤条件下轨迹准确率分别为98.86%和98.83%,轨迹召回率为93.00%和86.69%,构建算法的轨迹提取速度为0.07 s/辆/m。该方法处理得到的详细车辆时空轨迹信息能为交通流、交通安全、交通管控研究提供广泛的数据支撑,数据公开于http://seutraffic.com/
基于OBD数据的驾驶人出行模式挖掘
马晓磊, 姚李亮, 沈宣良
2021, 39(2): 70-77. doi: 10.3963/j.jssn.1674-4861.2021.02.009
摘要(639) HTML (407) PDF(16)
摘要:
传统的出行模式研究通常依靠问卷调查分析驾驶人出行特征,所得结果易受调查数据主观性影响,针对此问题基于北京市域范围内2个月共计3 570辆私家车的车载诊断数据,对驾驶人的不同出行模式进行分析并建模。通过长期采集的车辆各项参数,采用基于密度峰值的聚类算法进行聚类,将不同的驾驶人分为高频出行者、通勤出行者、长距偶发出行者以及危险出行者,并从平均出行距离、出行频次、百公里危险驾驶行为次数和出行时段等多维度进行分析,反映驾驶人行为的变化性和规律性。根据聚类的结果,使用多维离散隐马尔可夫模型进行建模并完成测试。测试表明,所提出的算法对于驾驶人出行模式的识别具有较高的准确性,对于4种类型的出行者,平均识别率超过91%,最高识别率可达94.5%。
基于车路协同环境的信号交叉口车速引导方法
徐丽萍, 邓明君
2021, 39(2): 78-86. doi: 10.3963/j.jssn.1674-4861.2021.02.010
摘要(1205) HTML (509) PDF(95)
摘要:
针对现有的车速引导模型存在未综合考虑车辆跟驰行为、引导场景划分较粗略等问题,研究了4种基于车路协同环境下实时优化各车的车速引导模型。对车辆进行所属车辆列队划分,考虑车速引导影响对FVD跟驰模型进行改进。以车辆列队为引导单元,将车辆可能面临的交通状况细分为8种引导场景,以引导车辆不停车或少停车通过交叉口为目标,直接优化车辆加/减速度,建立车辆列队后车根据改进的跟驰模型计算目标跟驰加/减速度,并与头车组成列队以同一目标车速通过交叉口停车线的4种车速引导模型。以南昌市海棠北路/枫林西大街交叉口为例进行仿真验证,结果表明,所提出的车速引导模型能使车辆行程时间减少18.9%,最大排队长度减少58.8%,延误减少60.8%,燃油消耗减少36.4%,且适用于不同交通饱和状态,对提高信号交叉口通行效率和减少车辆燃油消耗有显著效果。
考虑绿灯延长的干线公交绿波优化控制模型
强添纲, 刘涛, 裴玉龙, 杨世军
2021, 39(2): 87-94. doi: 10.3963/j.jssn.1674-4861.2021.02.011
摘要(927) HTML (328) PDF(25)
摘要:
针对绿灯延长控制策略使公交车辆在交叉口实际可通行时间大于社会车辆的事实,研究了考虑绿灯延长的干线信号协调优化控制模型。在MAXBAND模型考虑公交车运行速度和站点停靠时间的基础上,选择以绿灯起点作为绝对相位差的计算依据,结合最大延长绿灯时间改进对公交车辆的绿波带宽约束和时间-距离的几何关系约束,并使用Matlab求解改进模型相关参数。选取平均排队长度、社会车辆平均延误、公交车平均延误、平均停车次数和人均延误作为模型的评价指标,并使用Vissim软件对其仿真实验。实验结果表明,在无公交专用道且不考虑车辆排队影响的情况下,改进模型相较于在MAXBAND基础上考虑公交车行驶速度和靠站停车时间模型而言,5个评价指标均至少提升了2.87%;相较于MAXBAND模型而言,由于改进模型未考虑交叉口车辆排队情况,公交车平均延误增加了1.87%,但其他4个指标均至少提升了1.71%。
基于模式识别与ST-MRF相结合的车辆检测方法
周君, 包旭, 高焱, 李耘, 姜晴
2021, 39(2): 95-100, 108. doi: 10.3963/j.jssn.1674-4861.2021.02.012
摘要(685) HTML (383) PDF(15)
摘要:
车辆检测技术的主要难点是在于解决车辆之间的遮挡,以及由于光照变化引起的车辆与其阴影之间的遮挡问题,这些问题将直接影响检测的精度。针对这个问题,在原ST-MRF方法上研究了基于模式识别与ST-MRF相结合的车辆检测方法。模式识别技术分割相互遮挡的2辆车之间的边界,并识别相互遮挡车辆的边缘间隙以及边界信息,模式识别结果反馈给ST-MRF算法,算法对相互遮挡车辆重新分配标号,优化处理并融合不完整的分割部分,确定单个车辆信息。路段车辆检测实验结果表明,在检测区域行驶的325辆车,用原始ST-MRF算法跟踪统计到的车辆数为258辆,成功率为79%,采用模式识别技术与ST-MRF相结合算法统计到车辆315辆,成功率为97%;交叉口车辆检测实验结果表明,该方法在机动车与非机动车混行,公交车与小汽车相互遮挡的交叉口场景下,能较准确地得到车辆检测结果。
城市公交GPS数据与IC卡数据时空特性融合算法
左精力, 王秋平, 陈君
2021, 39(2): 101-108. doi: 10.3963/j.jssn.1674-4861.2021.02.013
摘要(618) HTML (420) PDF(25)
摘要:
针对部分城市公交GPS数据和IC卡数据无直接联系,且2个系统存在不规律时间偏差,很难关联获取乘客上车数据的问题,进行了时空特性快速匹配数据融合分析。根据公交GPS数据和线路站点位置匹配获得公交运行时刻表,利用运行时刻表与时间修正后的IC卡数据进行遍历计算,采用时间相似度曲线寻找二者对应关系,利用时间平均偏差曲线进行关系验证,并获得2个系统之间的时间修正值。对西安市5条线路总计195辆车3d的相关数据进行试算,其中,191辆车具有明显的识别特征; 通过南宁16条线路已知对应关的344辆车进行算法验证,获得了336辆车的确切对应关系,平均时间修正误差为16.5 s。结果表明:该算法匹配率达97.67%,对于广泛存在的公交GPS数据和IC数据属于不同系统,难以判断刷卡上下车站点的情况,提供了快速高效的方法,扩大了原本不完善公交数据的应用范围,为公共交通出行中个体微观出行行为分析奠定了基础。
恶劣天气下多航空器改航路径的仿真优化算法
朱承元, 晏楠欣
2021, 39(2): 109-117. doi: 10.3963/j.jssn.1674-4861.2021.02.014
摘要(732) HTML (413) PDF(16)
摘要:
针对恶劣天气下区域管制区内,多航空器改航路径规划中缺乏降低管制员工作总负荷的考虑。以贵阳区域管制区为例,研究了恶劣天气下多航空器改航路径的仿真优化算法。采用灰色模型预测飞行受限区的动态影响范围;利用几何算法预先规划可供选择的改航路径;改进离散粒子群优化算法的运算规则;以整个区域管制区内改航总路径最短和管制员工作总负荷最低为目标,结合预测的飞行受限区、预先规划的改航路径、改进离散粒子群优化算法和全空域与机场模型实现恶劣天气下多航空器改航路径的仿真优化算法。结果表明,该仿真优化算法经过多次迭代,获得了改航优化方案;与采用传统粒子群算法的仿真优化算法相比,管制员工作总负荷下降了7.52%,改航总路径距离减少了4.48%;与采用多目标粒子群算法和非支配排序遗传算法-II的改航路径算法相比,其改航路径距离略长,但考虑了管制员工作负荷的影响。该仿真优化算法能在减少改航路径距离的同时有效降低管制员工作负荷,对实际改航规划具有借鉴意义。
交通规划与管理
网约车服务对城市传统出租车使用的冲击效应
钟军, 林岩, 吴瑕, 赵栩藤
2021, 39(2): 118-125. doi: 10.3963/j.jssn.1674-4861.2021.02.015
摘要(894) HTML (337) PDF(39)
摘要:
网约车服务的迅速发展对包括传统出租车在内的城市出行方式产生了重大冲击。针对传统出租车使用的冲击问题,收集中国33个地级及以上行政级别城市2010—2016年的平衡面板数据,采用双重差分法(DID)进行量化,并进行动态效应分析、稳健性检验、城市规模等级异质性和城市区位异质性分析。研究结果表明,网约车服务对传统出租车的使用产生显著的负向冲击,使传统出租车使用平均减少了25.46%;随着时间的推移,网约车服务对传统出租车使用的负向冲击呈现先加强后变弱的规律;城市规模异质性分析发现网约车服务致使超大城市中传统出租车使用减少了28.68%,致使大城市中传统出租车使用减少了22.12%;城市区位异质性分析发现网约车服务使东部城市传统出租车使用减少了27.96%,使西部城市传统出租车使用减少了21.2%。
多车道高速公路分流交织区交通流特性与交通组织策略
季托, 周颖, 吕能超
2021, 39(2): 126-136, 152. doi: 10.3963/j.jssn.1674-4861.2021.02.016
摘要(870) HTML (965) PDF(99)
摘要:
为了解决多车道高速公路分流交织区由于车道数增加、交通流量增加、标志设置不合理等原因存在的诸多安全问题,在分析多车道高速公路分流交织区存在的问题和总结现有多车道高速公路断面形式(整体式断面、客货分离式断面、主辅分离式断面)的基础上,提出多车道高速公路分流交织区的交通组织形式及其优缺点。总结了多位学者对多车道高速公路分流交织区处的运行车速、通行能力及安全特性和冲突特性的研究,并在此基础上,提出了多车道高速公路分流交织区处的交通管理(车道管理和车速管理)及诱导设施(同向分隔带、标志标线)的优化意见。所提出的交通管理及诱导设施的优化方案可以显著提高多车道高速公路分流交织区的安全性及其运行效率。
基于局部路网空间结构特征的无检测器路段交通流预测方法
叶秀秀, 马晓凤, 钟鸣, 黄传明
2021, 39(2): 137-144. doi: 10.3963/j.jssn.1674-4861.2021.02.017
摘要(864) HTML (447) PDF(18)
摘要:
城市路网中存在大量尚未布设交通检测器的路段,其交通流数据难以获取,不利于开展精准路网管理,为此提出了利用局部路网空间结构特征预测无检测器路段交通流量的方法。基于有检测器路段的海量交通流数据,分析局部路网空间结构特征与路段交通流量之间的相关性;根据路网拓扑关系使用多元线性回归算法估计所有的有检测器交叉口交通流分配权重,并使用多元线性回归算法进一步挖掘局部路网空间结构特征对交通流分配权重的影响;结合空间特征影响度系数、无检测器路段所在的局部路网的空间结构特征及相邻路段的交通流,对无检测器路段进行交通流预测。实验结果表明,路段道路类型、相邻路段数量及相邻路段道路类型这3类局部路网空间结构特征与路段交通流量相关性显著,采用基于空间特征影响度系数对局部路网中只有单个相邻上游和具有多个相邻上游的无检测器路段进行预测,发现其平均误差分别在8%和22%左右。
基于时空网络的铁路空车调配动态优化模型
郑可心, 宋瑞, 李光晔
2021, 39(2): 145-152. doi: 10.3963/j.jssn.1674-4861.2021.02.018
摘要(829) HTML (818) PDF(56)
摘要:
为合理配置空车资源,研究了路局(公司)管内空车调配的动态优化问题。构建区分时段长度的时空网络,以准确描述车站作业能力的变化。借鉴运输问题(TP)的基本思想,通过引入空车供需约束,将动态空车调配问题转化为基于时空网络的多商品网络流问题。结合空车调配的特点,设置2组整数决策变量,将分界站排空与局(公司)管内配空分开考虑。设置0-1辅助变量构建车种代用约束。在此基础上,以总费用最小为目标,构建了空车调配动态优化的混合整数规划模型。以中国铁路昆明局集团有限公司管内空车调配为例,验证了模型的可行性与有效性。算例结果表明,与静态空车调配方法相比,构建的动态空车调配模型不仅降低了空车调配总成本,而且调配方案更加贴合实际。与现有动态空车调配方法相比,通过改变时空网络中时段的划分方式,降低了模型求解的复杂度,构建的模型在获取空车调配方案的同时能够更加直观的看出空车在不同时间的作业状态。
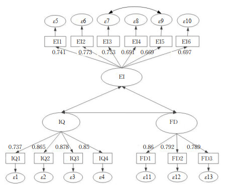
基于联合模型的机场航站楼寻路影响因素
任新惠, 侯慧停
2021, 39(2): 153-160. doi: 10.3963/j.jssn.1674-4861.2021.02.019
摘要(687) HTML (430) PDF(26)
摘要:
为解决旅客感知对机场航站楼寻路影响缺乏定量描述的问题,使用个人素质能力、感知信息有效性、感知设施布局分散程度这3个潜变量作为旅客在寻路过程中的感知影响变量。结合个人属性、出行特征、机场状况等变量,构建融合旅客感知影响的机场航站楼寻路SEM-Logit联合模型,并运用问卷调查数据进行实证分析。结果表明,感知因素潜变量对航站楼内的寻路过程具有重要影响作用。个人素质能力(0.107)、感知信息有效性(0.379)对寻路便捷程度具有正向影响,感知设施布局分散程度(-0.330)具有负向影响;旅客的年龄、性别也是影响航站楼寻路的关键因素。联合模型比基础回归模型考虑因素更全面、解释能力更强。