2023 Vol. 41, No. 5

Display Method:
2023, 41(5): .
Abstract(592) HTML (316) PDF(52)
Abstract:
A Review of Focus and Development Trends in Intelligent Civil Aviation Security
ZHANG Qingsong, WEI Xiangyu, WU Yu
2023, 41(5): 1-11. doi: 10.3963/j.jssn.1674-4861.2023.05.001
Abstract(1175) HTML (550) PDF(74)
Abstract:
With the rapid expansion of civil aviation transportation, aviation security operations within the framework of intelligent civil aviation have shifted towards an open and fully automated self-service process. The increasing complexity of security demands drives the transformation from conventional security practices to intelligent security measures. Currently, both domestic and international scholars have conducted extensive research on intelligent civil aviation security. To systematically analyze the research focus and development trends of intelligent civil aviation security, 1 229 literatures about intelligent civil aviation security from the China National Knowledge Infrastructure (CNKI) and the Web of Science Core Collection databases are studied. Utilizing CiteSpace software, a visualized bibliometric analysis is conducted covering aspects such as country and institution distribution, major journal sources, keyword clustering, and keyword burst detection. The study aims to summarize and explore the research focus and trends within this field. The findings are as follows: ①Between 1998 and 2021, the global research on intelligent civil aviation security exhibited a similar increasing trend, with a fluctuating rise in overall publication volume, which showed a slight decrease since 2019. ② In terms of country and institution distribution, the highest number of publications originated from China and the United States, accounting for 37.04% collectively. European nations displayed closer research collaboration in this field. Prominent domestic research institutions include Civil Aviation University of China, China Academy of Civil Aviation Science and Technology, Civil Aviation Flight University of China, etc. Notable foreign research institutions include Delft University of Technology in the Netherlands and the University of Illinois in the United States, etc. ③ The hot topic in this field include studies on civil aviation operational safety and security, civil airport safety and security, and security inspection. Besides, simulation technology and network information security are hot research directions within civil aviation operational safety and security. Emergency evacuation and agent-based modeling (ABM) emerge as significant research areas within civil airport safety and security. Passenger differentiation, millimeter-wave security gates, and the integration of machine learning with existing security inspection technologies are identified as hot topics in security inspection research. However, China's research in this field of economic analysis and network information security concerning intelligent civil aviation security needs further reinforcement. ④ The significance of research on intelligent identification technology in the early warning and alarm systems is highlighted, as well as the integration of simulation technology with virtual reality for security personnel training or exercises. Additionally, the optimization of network information security and security evaluation models is the current mainstream trend in intelligent civil aviation security research.
A Method for Predicting Traffic Accidents Based on an Ensemble Empirical Mode Decomposition and an Optimized LSTM Model
LIU Qingmei, WAN Ming, YAN Lixin, GUO Junhua
2023, 41(5): 12-23. doi: 10.3963/j.jssn.1674-4861.2023.05.002
Abstract(1027) HTML (607) PDF(79)
Abstract:
Accurate prediction of road traffic accidents is essential to improve traffic safety effectively. Due to the frequent non-linear, fluctuating, and nonperiodic characteristics of accident data, existing algorithms have the problem of poor prediction performance. Therefore, a method for traffic prediction that uses a long short-term memory network (LSTM) combined with ensemble empirical mode decomposition (EEMD) and particle swarm optimization (PSO) is proposed. Based on a single model, the EEMD is first used to break down the noise of accident data and obtain multiple subsequences and a residual. Based on LSTM optimized by PSO, the temporal feature information extracted from the data is predicted under the optimal network structure of LSTM. Then, the prediction results of each subsequence and residual are summed to obtain the final prediction result. The results show that, compared with the EMD-PSO-LSTM, PSO-LSTM, EEMD-LSTM, and LSTM, the ermse of EEMD-PSO-LSTM is reduced by 8.7%, 48.3%, 53.1%, and 57.6%, respectively. Meanwhile, the emape is reduced by 12.4%, 36.9%, 50.6%, and 61.2%, respectively. Compared with the PSO-LSTM, the ermse of the EEMD-PSO-LSTM is reduced by 60.2%, the emape is reduced by 12.4%, and the r2 is increased by 0.616 5. The PSO Introduced to optimize neural networks can help improve prediction performance. Compared with the EEMD-LSTM, the ermse of the EEMD-PSO-LSTM is reduced by 53.1%, the emape is diminished by 50.6%, and the r2 is climbed to 0.807 8. The results can improve the prediction accuracy of traffic accidents and help relevant departments effectively improve road traffic safety.
Identification of Safety Risk in Freeway and Impact Factors Based on an Interpretable Machine Learning Framework
DU Jian, YANG Haiyi, LI Yang, GUO Miao, QI Hang, WEI Jinqiang, MA Hao, HU Dandan, LI Zhiyu
2023, 41(5): 24-34. doi: 10.3963/j.jssn.1674-4861.2023.05.003
Abstract(915) HTML (484) PDF(93)
Abstract:
Traffic accidents, being random events with low-probability, pose challenges for traffic safety analysis in the comprehensively temporal and spatial perspective, which hinders the proactive effective prevention and control strategies before accidents occur. To this end, this paper aims to identify the safety risk and underlying mechanism under various factors. Specifically, data about aggressive driving behavior and speed variation coefficients are used to calculate traffic order index (TOI) to further form accident proxies. TOI are classified into three traffic safety risk levels by K-means clustering algorithm. The correlations of traffic flow characteristics, weather conditions, road conditions, and other factors with traffic safety risk are established using the Catboost algorithm. Based on the feature importance of Gini coefficient, elements contributing to safety risk of highway traffic are identified. Next, the partial dependency plots algorithm is utilized to analyze the dependency relationship and marginal effect between risk factors and traffic safety risk. The results indicate that: ① The Catboost algorithm exhibits high model fitness in identifying risk levels with accuracy, precision, and recall rates equaling 85.95%, 88.56%, and 86.75%, respectively, which confirms the robust correlation of TOI with external risk factors. ② Traffic flow and congestion can significantly influence risk identification, displaying a nonlinear relationship with traffic safety risk levels. Notably, when traffic flow exceeds 450 veh/h or the congestion index surpasses 1.5, traffic safety risk would substantially increase by 16.9% and 29.5%, respectively. ③ When there are 1 or 2 traffic signs within 1km of consecutive roadway, with a 38.1% likelihood of being identified as high-risk areas. Additionally, ramp entrances, exits, and roads inside the tunnel are identified as locations with the highest traffic safety risk. ④ The impact of lateral wind on traffic safety risk is relatively minor. However, as the wind level increases from 0 to 5, traffic safety risk increases by 4.99%.
A Method for Evaluating Safety of Driving Scenes with Intelligent Connected Vehicles Based on an Improved Cloud Combination Weighting
PANG Shaorong, ZHANG Shibo, LUO Longhao, LUO Yong, LI Min
2023, 41(5): 35-42. doi: 10.3963/j.jssn.1674-4861.2023.05.004
Abstract(917) HTML (561) PDF(35)
Abstract:
Accurate and reliable safety evaluation of driving scenarios is the basis for promotion and application of intelligent connected vehicles. However, fuzziness and randomness brought by complex and changeable driving scenarios cannot be fully considered by evaluation methods based on fixed weighting. A safety evaluation method for driving scenarios of intelligent connected vehicles based on improved cloud combination weighting is proposed. The driving scenarios element database of intelligent connected vehicles is established, which includes static environment, dynamic behavior, intelligent element layers. A scenarios design scheme is developed. The scenarios are deconstructed into functional scenarios, logical scenarios, and specific scenarios. Each scenario is carefully designed with relevant elements. The concept of cloud model and the game theory are combined to improve cloud combination weighting. A comprehensive cloud is constructed based on the cloud model algorithm to characterize the security of each scenario, and an ideal cloud evaluation model is established. The relative similarity index is put forward as an evaluation result, enabling quantitative analysis and ranking of scenario safety. The reliability of this method is verified by comparing with the analytic hierarchy process (AHP), superiority chart, entropy method, variation coefficient method, game combination weighting, and normal cloud combination weighting. The Pearson correlation coefficient between evaluation and simulation results is 0.649, significantly correlated at the 99% confidence level. It is 5.5%, 7.8%, 19.7%, 13.7%, 8.1%, and 0.8% higher than the above evaluation methods, respectively. In the simulation test, the accuracy of accident identification of the proposed method is 78.13%, higher than the 44.29% used by Baumann et al, and 57.2% used by Xia et al. The result shows advantages of subjective and objective weighting evaluation methods. Inauthentic evaluation results caused by the current fixed numerical weight are improved, and the accuracy of relevant evaluation is increased.
An Analysis of Fatal Accident Rates of Passenger Cars on Urban Roads Considering Imbalanced Data Samples
WANG Chaojian, ZHANG Daowen, JIANG Jun, XIAO Le
2023, 41(5): 43-53. doi: 10.3963/j.jssn.1674-4861.2023.05.005
Abstract(1276) HTML (890) PDF(46)
Abstract:
Traffic accidents on urban roads are frequent, and there is a significant imbalance in accident data. The coupling between different factors caused great challenges in analyzing the fatal accident rate of passenger vehicles on urban roads. Therefore, a three-stage method that integrating resampling, Bayesian networks (BN) and association rule method (ARM) is proposed. Based on the data of 1105 urban road passenger car accidents from the National Automobile Accident In-Depth Investigation System (NAIS), the BN model is constructed by selecting 16 potential feature variables from four aspects: driver, vehicle, roadway and environment. Considering the problem that the imbalance of accident types can lead to the degradation performance of BN model. Proposed data re-sampling using Synthetic Minority Over-sampling Technique (SMOTE) and Cluster Centroids (CC) before the construction of BN model. Compare the comprehensive performance of different BN models under various sampling techniques. Finally, based on the optimal BN model and combined with the ARM, the effects of different influencing factors and the coupling effect of factors on the fatal accident rate were analyzed. The results show that re-sampling method can significantly improve the comprehensive performance of BN models and the ability to identify risk factors. Among them, the BN model constructed by SMOTE sampling technique combined with GTT algorithm has the highest AUC of 0.793. Besides, compared with the BN model constructed by the original imbalanced data, the BN model constructed by SMOTE sampling explores six more risk factors. The highest fatal accident rate was 80.4% when "motorized two/three-wheelers"are coupled with"speeding". The next highest fatal accident rate is 77.4% when "motorized two/three wheelers"is coupled with"blind spots in the field of vision". Passenger cars are prone to crash with cars when turning left at the Four-Way Intersection, but the fatal accident rate is less than 20%. This method can reduce the influence of data imbalance on the analysis of road traffic accidents, and realize the analysis of the coupling effect of risk factors, thus preventing and reducing the occurrence of fatal accidents on urban roads.
A Method for Collaborative Optimization of Lane Functions and Signal Control at Intersections with Variable Approach Lanes
LI Xuemei, ZHANG Cunbao, CAO Yu, QIN Ruiyang
2023, 41(5): 54-63. doi: 10.3963/j.jssn.1674-4861.2023.05.006
Abstract(849) HTML (467) PDF(42)
Abstract:
As a flexible traffic organization method, the variable approach lane can dynamically adjust the lane function of the entrance lane to improve the intersection traffic efficiency. However, in the actual operation, the variable approach lane switching only between straight and left lanes has the problem of insufficient utilization of time and space resources. Therefore, a cooperative optimization method of lane function and signal control that can switch between straight, left-turn and straight-left combined lanes is studied. Based on the real-time traffic flow data of the intersection, the method judges the lane function switching which takes into account various indicators such as intersection delay, switching time intervals, and traffic demand stability. This judgment facilitates the dynamic optimization of lane function and signal control. The lane departure flow rate correction factor for intersections with variable approach lane is introduced to improve the delay formula, taking into account the relationship between lane function and signal phase, and an optimization model based on the phase matrix is established to minimize the average vehicle delay to determine the appropriate lane function, phase and signal timing scheme. The simulation environment is conducted using VISSIM software, and verification of the simulation is carried out using the intersection of Jianshe Avenue and Xinhua Road in Wuhan as a case study. The experimental results show that, compared to the timed control method where lane functions switch exclusively between straight and left-turns, the average delay of vehicles at the intersection is reduced by 9.2%—12.5%, the average delay of the intersection from the approaching with variable approach lane is reduced by 10.8%—25%, and the average queue length is reduced by 9.8%—12.3% when utilizing the lane function and signal control coordinated optimization method that switches between straight, left, and straight-left combined lanes.
A Robust Optimization Model of Delay Estimation and Signal Timing for Parallel Flow Intersection
SONG Lang, WANG Jian, YANG Binyu, AN Shi, AN Wenjuan
2023, 41(5): 64-73. doi: 10.3963/j.jssn.1674-4861.2023.05.007
Abstract(935) HTML (482) PDF(29)
Abstract:
A robust scenario-based optimization control method is proposed to address poor coordination of the main signal and the pre-signal caused by traffic fluctuations, and the issue of vehicle queue overflows in displaced left-turn lanes at parallel flow intersections. By analyzing the mechanism of traffic operation of parallel flow inter-sections, it is found that the operational stability is affected by the stochastic fluctuations in traffic demand, saturation flow rates, and traffic speeds. Thus, the coupling characteristics between time-varying traffic supply and the control of parallel flow intersection are established. Then, an objective function is defined as the mean and standard deviation of vehicle average delay, which utilizes weighting coefficients to intuitively reflect preferences of decision-makers for traffic efficiency and stability. Moreover, a robust optimization model for parallel flow intersections is developed by considering constraints such as the coordinated control of main pre-signals, functional allocation of lanes and clearance of lanes. A delay model is derived by integrating traffic rules for displaced left-turn vehicles from the diagram of vehicle arrivals and departures. The simulation results of the delay model show that the average absolute error of delay for left-turn and through vehicles does not exceed 3%, and the maximum error does not exceed 6%, which indicates a good fit. In the case study, the proposed optimization method results in a mere 2.24% increase in the average delay while it achieves a significant 21.23% reduction in the standard deviation of delay compared to the deterministic optimization. It shows that robust optimization enhances the operational stability of parallel flow intersections without sacrificing the throughput efficiency of intersections, which enables signal control more aligned with practical requirements. In the sensitivity analysis, the objective function exhibits an initial decreasing and then an increasing trend as the length of the displaced left-turn lane and design speed increase. It means the length of the displaced left-turn lane should align with the traffic demand during the design phase. However, the design speed should be slightly higher than the average speed obtained from field surveys when calculating the phase difference of through traffic for the main and pre-signals.
A Control Method for Mixed Traffic Flows with CAVs and HDVs on Freeways
GAO Jinyong, LUO Sheng, WANG Xinyuan, ZHOU Cheng, AN Lianhua
2023, 41(5): 74-82. doi: 10.3963/j.jssn.1674-4861.2023.05.008
Abstract(915) HTML (450) PDF(29)
Abstract:
The mixed traffic with connected and automated vehicles (CAVs) and human-driven vehicles (HDVs) is an ongoing trend. Improving traffic control capabilities through CAVs' precision and control advantages is a key focus area. By regulating the desired cruising speed of CAVs on the upstream segment, it indirectly influences HD-Vs'speeds, enabling fine-tuning control of traffic demand upstream. Considering the time-varying nature of traffic flow and the need for comfortable driving, a model predictive control approach is used. This model uses CAVs' speed as the controlling factor, creating a traffic control model. It aims to minimize deviations in flow control and changes in CAVs' speeds for optimized control processes. A distributed solution algorithm for the control model is designed. The solution algorithm enhances the model's speed of resolution. The effectiveness of the proposed control model is verified through VISSIM simulation. It shows that the control accuracy exceeds 80% across different CAVs penetration rates, demand levels, target demand drop rates, and update time intervals. The control strategy has a solu-tion time of less than 0.1 seconds. It enables real-time control requirements for CAVs, thereby efficiently reducing traffic flow towards the target to avoid congestion downstream. The model can potentially decrease the upstream de-mand flow by up to 40%, enabling it to effectively manage significant fluctuations in highway demand and reduce highway bottleneck congestion. This method has reference significance for preventing highway congestion and im-proving traffic efficiency. It also provides a reference for the development of active traffic control methods based on CAVs.
A Detection Method for Maritime Traffic Accidents Based on AIS Communication Volume
WU Jianhua, PENG Hu, WANG Chen, FU Peng
2023, 41(5): 83-94. doi: 10.3963/j.jssn.1674-4861.2023.05.009
Abstract(749) HTML (388) PDF(13)
Abstract:
The data-driven approach for traffic accident detection plays a crucial role in the rapid rescue and reduction of losses in maritime accidents. To achieve automatic detection of maritime accidents without autonomous reporting, a method based on Automatic Identification System (AIS) communication volume is proposed. Normally, sudden maritime accidents disrupt the normal navigation patterns of vessels, leading to sharp changes in AIS communication volume within a short time due to changes in vessel movement states during the accidents. To extract the inherent laws of AIS communication volume during the evolution of maritime accidents and reduce noise interference to highlight the abrupt features of detection indicators, the AIS communication volume-to-total vessel count ratio is introduced as an indicator for maritime accident detection. To ensure timely detection, a sliding window model is used to segment detection indicator data and set update time intervals. Furthermore, a maritime accident detection model based on Kalman filtering is developed for short-term prediction of detection indicators. To ensure the accuracy of detection results, a cloud model is employed for rapid division of detection model threshold ranges. Validations and simulations are conducted using AIS data from the Yangtze River Wuhan section to verify the AIS communication volume-based maritime accident detection method. Results show that the proposed detection model based on Kalman filtering achieves the highest hit rate and lowest false alarm rate in the shortest time, namely 97.25% and 0.42%, respectively, compared to models employing standard normal deviation and multi-scale linear fitting algorithms. In further simulated experiments involving three different accident scenarios, the proposed AIS communication volume-based maritime accident detection method successfully detects accidents within 5 minutes.
A Cooperative Recovery Strategy for Massive Flight Delays Based on Satisficing Game Theory
LU Tingting, LIU Jimin, QU Chenrui, ZHANG Zhaoning
2023, 41(5): 95-106. doi: 10.3963/j.jssn.1674-4861.2023.05.010
Abstract(620) HTML (507) PDF(28)
Abstract:
Severe weather conditions, intervention from military activities, and other unforeseen hazards frequently lead to the massive flight delays in the aviation sector. This will bring significant economic losses for airports and airlines and may even result in problems such as incidents due to passenger crowding at airports. Recovery of massive flight delays involves the operation and related interests of multiple stakeholders, such as air traffic control, airports and airlines. Therefore, it is necessary to study a cooperative recovery strategy based on the satisfaction of the above parties to guide the optimal and rapid recovery of massive flight delays in practical airport operation. Applying the satisficing game theory method considers various costs, including the impact of the delayed flights on ramp control, congestion within control sectors, the entire air traffic network, and the economic losses of airlines. This study also analyzes the factors influencing the recovery operations and decisions for delayed flights by proposing a model that maximizes air flow while ensuring the recovery of flights without further delay. Additionally, a collaborative recovery strategy model for air traffic control, airports, and airlines under massive flight delays based on the principles of satisficing game theory is developed. The model considers the principles of air traffic control release flow, airport capacity, and the recovery of delayed flights by airlines. An illustrative case study is conducted for the recovery of 50 delayed flights that were scheduled to depart from Beijing Capital International Airport from 07:00 to 12:30. The findings show that, the proposed model and methodology facilitate the recovery of 32 flights during 12:30 to 16:30 time frame, showcasing a 10.34% increase compared to the actual recovery of 29 flights. Moreover, the estimated order of flight recovery and the time window for each flight's recovery reduce the economic losses incurred by airlines by approximately 3 million Chinese Yuan and save approximately 19 hours in time costs. The strategy also effectively reduces the flight adjustment volume, significantly mitigates the flight delay losses, and enhances the overall benefits of flight recovery, thus validating the effectiveness of the recovery strategy model.
A Parameter Calibration Method of Micro Traffic Simulation Based on Index Coupling
GAO Pei, ZHOU Ronggui, ZHOU Jian, ZHANG Xuran
2023, 41(5): 107-114. doi: 10.3963/j.jssn.1674-4861.2023.05.011
Abstract(595) HTML (320) PDF(22)
Abstract:
A method is proposed by considering multiple calibration indexes to optimize the parameter calibration of a traffic simulation model, improve the accuracy of the simulation model, and restore real road environments. Guided by simulation results, the calibration parameters for application-specific requirements are determined by sensitivity analysis. Considering the mutual influence of different calibration indexes, a simulation model is calibrated by simultaneously considering multiple calibration metrics which takes the variability of errors across distinct time intervals as the weights, and the objective function of the model calibration is developed based on six velocities. The model is implemented through secondary development of VISSIM software with MATLAB language. 143 groups of parameters are determined by two-stage entropy weight assignment and adaptive adjustment based on immune genetic algorithm. The effectiveness of the proposed method is validated by comparing with several baseline methods in three ways: uniform value, recursive value, and index coupling value approaches. The simulation results indicate a 50% decrease of squared errors exceeding 0.01 for the main line speed, and a 60% reduction for large trucks across various time periods. Regarding speed, the existing errors are 5% and 1.5% for main passenger cars and large trucks, reduced by 7% and 5.2%, respectively. The errors of estimated speeds for small trucks and ramps remains at approximately 6.5%; The speeds of main passenger cars and main trucks have smaller weights, ranging from 0.15 to 0.2, which indicates smaller variabilities of errors and smaller effects on the objective function. The results show that the proposed calibration method based on index coupling effectively takes into account both the in teraction of multiple indexes and the error of individual index, which mitigates the shortcoming of single-index calibration methods that leads to excessive errors of other indexes.
A Recognition Model for Violent Sorting Activity Based on the ST-AGCN Algorithm
CAO Jingjing, YU Zhou, LI Pengfei, MIN Yanping, HUANG Qixian, ZHAO Qiangwei
2023, 41(5): 115-126. doi: 10.3963/j.jssn.1674-4861.2023.05.012
Abstract(759) HTML (609) PDF(36)
Abstract:
An image-based behavior recognition method can be utilized to address the issue of violent sorting which is prevalent within the express logistics industry. However, this method presents challenges including algorithmic fragility and the difficulty in obtaining joint point data in practical scenarios. In response to these challenges, a video dataset is generated to capture instances of violent sorting behaviors in logistics, and a model is developed to identify such behaviors. Video data from both indoor and outdoor scenarios is collected, with real-time video image transmission achieved using the Python socket module. Screening rules are applied to eliminate non-standard data, and the OpenPose model is employed to obtain joint data. To address the limitation of general recognition network in reflecting the impact of joint points on actions, an optimized graph neural network is developed based on ST-GCN. The spatial attention mechanism is used to understand the influence of different joints on various movements, updating the weight of each joint. The topology and network parameters of the human bone map are optimized through end-to-end learning to emphasize the influence of key joints on action recognition. Comparative and ablation experiments are conducted on various deep learning models using violent sorting videos captured in indoor and outdoor environments. The experimental results indicate that the accuracy of ST-AGCN model for identifying violent sorting behavior in real scenes is 5.6% higher than ST-GCN. Compared with STA-LSTM, ST-AGCN without spatial attention mechanism, and ST-AGCN without the adaptive graph structure layer, the accuracy of ST-AGCN model is improved by 13.82%, 2.36%, and 1.61% respectively, which indicates the ST-AGCN model is also suitable for complex logistics sorting scenes in cluttered indoor and outdoor environments and partial occlusion, and verifies the superiority of ST-AGCN and the effectiveness of the spatial attention mechanism and the adaptive graph structure layer.
An Optimization Model and Algorithms for Loading Combined Container Units Used in Multimodal Transport System with Automotive Parts
LI Jun, YIN Jing, ZHANG Yu
2023, 41(5): 127-137. doi: 10.3963/j.jssn.1674-4861.2023.05.013
Abstract(531) HTML (391) PDF(17)
Abstract:
To meet the packaging and loading requirements of irregular-shaped parts within automotive components in multi-modal container transport, a novel combined unit container is designed. The loading optimization model and algorithm for the proposed container are presented. This addresses challenges pertaining to internal division of the container unit, packing of irregular-shaped items, and multi-layer stacking requirements. The focus is on pallet selection for items to be packed, the positioning of loaded pallets within the container unit, and the effective alignment of goods, pallets, and the internal container space. Considering the above differences, the decision variables are redefined for pallet selection, stacking positioning for loaded pallets within the container unit, and positioning of dual pallets on the same layer. The constraints such as the selection of pallet types, the uniformity of pallet sizes within a single loading unit and its neighboring units are considered as well. A 0-1 integer programming model, Container Loading Model (CLM), is constructed to maximize the utilization of the effective space inside the container. To achieve efficient optimization, a heuristic algorithm, Fast-packing Algorithm (FPA), is presented encompassing cargo grouping, sorting, and packing. The experiments results show that both the proposed CLM and FPA provide high-quality loading solutions. The average effective space utilization rates achieved by CLM and FPA across all instances are 84.52% and 83.57%, respectively. For the instances involving packing goods selection, the average results attain 91.00% and 89.84%, respectively. Notably, the CLM requires a long solution time with an average of 473.57 s, with marginal improvements in solution quality with increased time. In contrast, the FPA exhibits the fastest solution time with an average of 0.20 s and an average deviation from upper bounds of 1.52%. Compared with the genetic algorithm and evolutionary strategy algorithm, the proposed FPA achieves best results within 1 s for all instances.
An Optimization Method for Internal Vehicle-traffic Organization in Off-street Parking Lot Considering Safety and Efficiency
WU Dongping, NIE Xiaohu, CHANG Hongguang, ZHU Shunying
2023, 41(5): 138-147. doi: 10.3963/j.jssn.1674-4861.2023.05.014
Abstract(548) HTML (353) PDF(22)
Abstract:
To improve the efficiency of off-street parking lots and to ensure road traffic, this study proposes an optimization method for internal vehicle-traffic organization in off-street parking lots. A directed weighted graph is utilized to represent the layout of exit/entrance and passages of a parking lot and the traffic organization within the parking lot, thereby transforming the optimization problem of traffic organization into the optimization problem of adjacency matrix. With safety and efficiency as the optimization objectives, three evaluation indicators, i.e., potential conflict risk, parking travel time and node equilibrium coefficient are used. Thereby the optimization model for internal traffic organization of parking lots is established, considering the constraints of the number of parking spots and passage capacity. The optimization problem is solved using genetic algorithm. To compare the effects of traffic organization before and after optimization, VISSIM-simulation is adopted based on data from an empirical case. The parameters such as queue length at entrances/exits, individual parking time, distribution of conflict points, and use ratio of parking spots are selected for comparison, along with sensitivity analysis of model parameters and traffic flow. The results show that: ① the model can compensate for the limitations of qualitative research and subjective empirical judgements, achieving quantitative optimization of the internal traffic organization in off-street parking lots. ② The queue lengths at entrances/exits reduces by 25.8% on average; the number of parking spots with use ratio in the range of 0 to 1.8 decreases by 5.89%; and the kernel density of conflict points also reduces. ③ The model is relatively stable as it is insensitive to the variations of parameters of potential conflict risks within the range of ± 0.1 to ±0.3. 4) Within a range of -20% to +20% regarding the variation of traffic volume, the optimized solution ensures the corresponding variations of individual parking time and the average queue length remain within 10%, which shows that the solution is adaptable to fluctuating traffic volumes in real-world scenarios.
A Forecasting Method for Arrival Passenger Flow Based on Hyperparametric Optimization WOA-Bi-LSTM Model for Passenger Hubs
WENG Jiancheng, CHEN Xurui, PAN Xiaofang, SUN Yuxing, CHAI Jiaolong
2023, 41(5): 148-157. doi: 10.3963/j.jssn.1674-4861.2023.05.015
Abstract(659) HTML (283) PDF(23)
Abstract:
Accurate prediction of arrival passenger flows at external passenger transportation hubs is an important prerequisite for enhancing the scientific scheduling of the transferring transport capacity of hubs. In order to improve the prediction accuracy of arrival passenger flows, a combination model of the whale optimization algorithm and bi-directional long short-term memory (WOA-Bi-LSTM) is proposed. Integration of historical arrival passenger flow data with multi-source information such as weather, date, and time of day, the time-varying characteristics of arrival passenger flows are analyzed, and correlation analysis is conducted between different influencing factors and arrival passenger flows at the hub. The parameter setting of the traditional bi-directional long short-term memory (Bi-LSTM) model is modified with the whale optimization algorithm (WOA) optimization algorithm. Learning rate (η) and the number of hidden neurons (H) are significant hyperparameters on model prediction accuracy and are determined by searching optimal values. The search procedure is performed to achieve adaptive parameter optimization by calculating their fitness functions through iterative logic. Through continuous optimization, set the η as 0.060 3 and H as 120. The performance of the proposed model is evaluated using three indicators: R2 value, mean absolute error (MAE), and root mean square error (RMSE). Simultaneously, the WOA-Bi-LSTM model is compared with several baseline models across multiple dimensions based on the same dataset, including three Bi-LSTM models modified by different hyperparameter optimization algorithms, two other combination models based on the WOA algorithm and two unmodified neural network models. The results show that the WOA-Bi-LSTM model shows better performance of predicting arrival passenger flows in different scenarios involving holiday, workday and non-workday. Compared to other models, the WOA-Bi-LSTM model achieves the highest R2 of 0.951 4, indicating that the proposed model has the best fit. The RMSE and MAE are both the lowest, at 762.96 and 556.25, respectively, with errors reduced by at least 5.6% and 3.2% compared to other models.
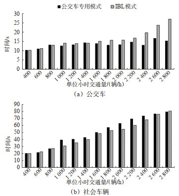
A Study on Setting Program for Intermittent Bus Lanes at Urban Road Intersections
ZHANG Wenhui, ZHU Hongtao, SONG Ziwen
2023, 41(5): 158-166. doi: 10.3963/j.jssn.1674-4861.2023.05.016
Abstract(825) HTML (383) PDF(28)
Abstract:
The bus priority policy would cause the delay of social vehicles. In order to improve the travel efficiency of social vehicles at urban signalized intersections and maximize the lane capacity on the premise of ensuring bus priority. A type of intermittent bus lane (IBL) operation mode at urban road intersections is proposed, allowing social vehicles to enter the bus lane when bus traffic is not disturbed. The type of vehicle at the entrance of intersections is control by setting pre-signals to achieving time-sharing of the bus exclusive lanes. A model of cellular automaton with three-lane is established considering signal coordination and lane-changing rules. A modified speed benefit model is used to simulate the operation status of bus lanes. A lane-changing pressure model is used to simulate the mandatory lane-changing rules in the clearing area. The effectiveness of IBL at intersections is measured using the evaluation indicators including speed, queuing, and delay time of vehicles. The results indicate that: ① When the traffic volume is less than 50% of the lane capacity, the average delay and queueing time of social vehicles under the IBL mode decrease by 6.9% and 4.9% respectively, the average speed of buses increases by 3% and the average delay of buses decreases by 5% comparing to those under the mode of traditional bus exclusive lanes. ② When the traffic volume reaches 50% to 80% of the lane capacity, the average speed of social vehicles increases by 15% to 37% and the average delay decreases by 8% to 20%. However, the average speed of buses decreases by 3.4% and the average delay increases by 5.7%. ③ When the traffic volume exceeds 80% of the lane capacity, the average speed of social vehicles increases by 6.7% and the average delay time decreases by 5.8%. However, and the average delay time of buses increases by 28.2%. Anactual unban intersection is selected as an empirical case study to verify the feasibility of IBL, which shows that the use of IBL can significantly reduce queuing time during off-peak hours and under the moderate traffic volume context.
A Dynamic Distribution Model of Urban Mobile Stations Considering Passengers' Arrival Punctuality
ZHANG Mingxia, ZHOU Hang, HU Xiaobing
2023, 41(5): 167-175. doi: 10.3963/j.jssn.1674-4861.2023.05.017
Abstract(464) HTML (274) PDF(14)
Abstract:
The existing distribution model for urban mobile stations (UMS) has not considered the uncertainty in the arrival times of passengers to the service stations, resulting in discrepancy between the optimization outcomes and practical scenarios. This discrepancy can cause the inability to provide services for early-arrival and delayed passengers. To address the detrimental impact of the time uncertainty on optimization solutions, A dynamic facility-distribution model based on the probability function of passengers' arrival punctuality is proposed. In response to the layout optimization problem of UMS, a comprehensive mathematical model and evaluation indexes for the optimization of dynamic facility distribution are proposed. A punctuality probability function with a normal distribution form is introduced to estimate the difference between passengers' actual and declared arrival times. Based on the location distribution of passengers during different service periods, the ripple-spreading algorithm and genetic algorithm are adopted to optimize the positions of service stations and to compute the optimal paths between passengers and stations. Finally, based on empirical data on the road network and passengers' distribution in Tianjin, simulation experiments are conducted to compare the dynamic facility distribution models considering passengers' punctual arrival and passengers' arrival with probabilities. The results indicate that the optimization model considering the probability of passengers' arrival time outperform those of the model considering the passengers' punctual arrival, with a 4.31% enhancement in the evaluation indexes of the dynamic facility distribution model. Specifically, the average path length of passengers to arrival stations decreases by 0.35%, the total excess distance beyond acceptable distances for passengers decreases by 6.26%, and the total excess capacity beyond stations' service capacity decreases by 4.13%. Therefore, the proposed model effectively considers the uncertainty in arrival times and optimizes facility layout based on passengers' actual arrival times more efficiently. In practice, the proposed model has the feature of high portability and can be applied to many other dynamic problems, such as dynamic location choice of logistics services.
A Method for Developing Service Plan of Urban Rail Train Considering Carbon Emissions Impacts
LIN Li, MENG Xuelei, CHENG Xiaoqing, HAN Zheng, FU Yanxin
2023, 41(5): 176-184. doi: 10.3963/j.jssn.1674-4861.2023.05.018
Abstract(626) HTML (353) PDF(16)
Abstract:
An unreasonable train service plan may result in poor comfort level, high operating costs, and high carbon emissions. In order to deal with these issues, a method for train service plan considering carbon emission is established in the context of multi-routing and multi-marshalling modes. Specifically, passenger comfort and carbon emissions are introduced into the objective function and constraints regarding capacity, service frequency, and terminal station arrangements are also considered. Considering the complexity and high dimensionality of the problem, improvements are made in the honey source updating strategy of the classic artificial bee colony (ABC) algorithm, which is adopted to solve the optimization problem. Experiments are conducted to calibrate the parameters. A computational analysis is conducted to evaluate the impact of weights of objective functions on the solutions. Furthermore, the solutions of this model are compared to those from the models in the context of single-route and single-marshalling mode. Additionally, solution quality and convergence speed of the proposed algorithm are compared to those using the traditional ABC algorithm. The results indicate that: ① The objective function value is negatively correlated with its weight coefficients, and the change range of objective function value is limited due to the limited solution space. ② The operating costs is decreased by 18.22% and carbon emissions by 18.17% compared to those under the single routing mode, both of which show significant reductions. ③ In contrast to those under the single marshalling mode, the travel cost, operating cost and carbon emissions are decreased by 3.37%, 3.12% and 3.32%, respectively. All objective function values are improved. ④ Comparing to the traditional ABC algorithm, the proposed algorithm achieves a 2.49% decrease in the total objective value, and the convergence speed is improved by 12.84%. The results verify the effectiveness of the proposed method in reducing operation costs and carbon emissions.