Volume 43 Issue 6
Dec.  2025
Turn off MathJax
Article Contents
XIA Chaoyu, Hu Minghua, HOU Changbo, HUANG Zihuan, XIE Yanyi, LIANG Di. An Optimization of Arrival and Departure Aircraft Scheduling in Multi-Airport Terminal Areas Considering Complex Air Traffic Control Decisions[J]. Journal of Transport Information and Safety, 2025, 43(6): 128-147. doi: 10.3963/j.jssn.1674-4861.2025.06.013
Citation: XIA Chaoyu, Hu Minghua, HOU Changbo, HUANG Zihuan, XIE Yanyi, LIANG Di. An Optimization of Arrival and Departure Aircraft Scheduling in Multi-Airport Terminal Areas Considering Complex Air Traffic Control Decisions[J]. Journal of Transport Information and Safety, 2025, 43(6): 128-147. doi: 10.3963/j.jssn.1674-4861.2025.06.013

An Optimization of Arrival and Departure Aircraft Scheduling in Multi-Airport Terminal Areas Considering Complex Air Traffic Control Decisions

doi: 10.3963/j.jssn.1674-4861.2025.06.013
  • Received Date: 2025-03-11
    Available Online: 2026-03-13
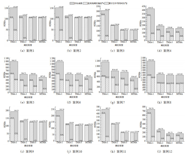
  • From a tactical flow management perspective, this study focuses on optimizing the temporal and spatial distribution of flight traffic at the microscopic operational level within multi-airport terminal areas, to enable dynamic management of arrival and departure flows and achieve orderly and efficient operations. This paper analyzes the unique airspace structure of multi-airport terminal areas and constructs a spatiotemporal node-link graph to represent arrival and departure operations. Then, based on actual air traffic control requirements, it incorporates multiple decision factors, including route selection, waypoint sequencing, speed adjustments, holding procedures, and dynamic time-domain separation, at critical resource nodes such as entry points, terminal airspace, approach airspace, and runways. Meanwhile, two mixed-integer linear programming scheduling models are proposed: one based on nominal paths and another incorporating multiple route options. The objective is to minimize cumulative scheduling deviations for all flights while also reducing air holding times for arriving aircraft. Finally, this study uses the Chengdu terminal area as a case study and conducts simulation verification under three typical operational scenarios: normal operations, departure peak operations, and arrival peak operations. The simulation result demonstrates that both proposed models are capable of generating conflict-free flight schedules. In both normal operation and departure peak scenarios, the two models exhibit similar performance, reducing the average scheduling deviation per aircraft by up to approximately 15.8 s compared to other scheduling models. In the arrival peak scenario, the model incorporating multiple paths shows superior performance, reducing the average air holding time per arriving aircraft by up to 42.3 s compared to other models.

     

  • loading
  • [1]
    侯昌波, 夏朝禹, 田文, 等. 机场群一体化运行: 集成进离场与场面运行技术研究综述[J]. 科学技术与工程, 2023, 23 (12): 4943-4957.

    HOU C B, XIA C Y, TIAN W, et al. Integrated operation of metroplex: a review of integrated arrival and departure and surface operations technology[J]. Science and Technology and Engineering, 2023, 23(12): 4943-4957. (in Chinese)
    [2]
    朱永文, 陈志杰, 蒲钒, 等. 空中交通智能化管理的科学与技术问题研究[J]. 中国工程科学, 2023, 25(5): 174-184.

    ZHU Y W, CHEN Z J, PU F, et al. Scientific and technological issues for the intelligent management of air traffic[J]. Strategic Study of CAE, 2023, 25(5): 174-184. (in Chinese)
    [3]
    ABEYRATNE R. The aviation system block upgrades: legal and regulatory issues[J]. Air and Space Law, 2014, 39(2): 131-154.
    [4]
    GING A, ENGELLAND S, CAPPS A, et al. Airspace technology demonstration 2 (atd-2) technology description document (tdd)[R]. Washington: National Aeronautics and Space Administration, 2018.
    [5]
    TORARANI D. Application of merging optimization to an arrival manager algorithm considering trajectory-based operations[J]. Transportation Research Part C: Emerging Technologies, 2019, 109: 40-59. doi: 10.1016/j.trc.2019.09.015
    [6]
    NG K, LEE C K M, CHAN F T S, et al. Review on meta-heuristics approaches for airside operation research[J]. Applied Soft Computing, 2018, 66: 104-133. doi: 10.1016/j.asoc.2018.02.013
    [7]
    江灏, 刘继新. 进离场航班优化调度研究综述[J]. 航空计算技术, 2021, 51(4): 130-134.

    JIANG H, LIU J X. Survey review of arrival and depar-ture flight optimal scheduling[J]. Aeronautical Computing Technique, 2021, 51(4): 130-134. (in Chinese)
    [8]
    张军峰, 马曌, 杜卓铭, 等. 多跑道混合运行模式进场航班动态鲁棒调度[J]. 航空学报, 2025, 46(7): 284-297.

    ZHANG J F, MA Z, DU Z M, et al. Dynamic robust scheduling of aircraft arrival in multi-runway mixed operation mode[J]. Acta Aeronautica et Astronautica Sinica, 2025, 46 (7): 284-297. (in Chinese)
    [9]
    NG W, RIBEIRO N A, JORGE D. An optimization approach for the terminal airspace scheduling problem[J]. Transportation Research Part C: Emerging Technologies, 2024, 169: 104856. doi: 10.1016/j.trc.2024.104856
    [10]
    夏朝禹, 刘卫东, 胡明华, 等. 考虑速度控制和等待程序利用的终端区空域运行优化[J]. 交通运输工程与信息学报, 2025, 23(2): 171-188.

    XIA C Y, LIU W D, HU M H, et al. Terminal area airspace operation optimization with consideration of speed control and utilization of holding[J]. Journal of Transportation Systems Engineering and Information Technology, 2025, 23(2): 171-188. (in Chinese)
    [11]
    马晓萱, 张军峰, 朱玲. 复杂多跑道机场离场运行的动态协同调度[J]. 交通运输工程与信息学报, 2024, 22(4): 154-165.

    MA X X, ZHANG J F, ZHU L. Dynamic collaborative scheduling of departure operations of complex multi-runway airport[J]. Journal of Transportation Engineering and Information, 2024, 22(4): 154-165. (in Chinese)
    [12]
    向征, 周鼎凯, 孙赫阳, 等. 基于强化学习的终端区离场排序研究[J]. 航空计算技术, 2023, 53(3): 30-34.

    XIANG Z, ZHOU D K, SUN H Y, et al. Research on departure sequencing in multi-airport terminal area based on reinfocement learning[J]. Aeronautical Computing Technique, 2023, 53(3): 30-34. (in Chinese)
    [13]
    DESAI J, PRAKASH R. An optimization framework for terminal sequencing and scheduling: the single runway case[C]. The Second Asia-Pacific Conference on Complex Systems Design & Management, Singapore: Springer, 2016.
    [14]
    SAMA M, DARIANO A, PALAGACHEV K, et al. Integration methods for aircraft scheduling and trajectory optimization at a busy terminal manoeuvring area[J]. Or Spectrum, 2019, 41: 641-681. doi: 10.1007/s00291-019-00560-1
    [15]
    NG K K H, LEE C K M, CHAN F T S, et al. A two-stage robust optimisation for terminal traffic flow problem[J]. Applied Soft Computing, 2020, 89: 106048. doi: 10.1016/j.asoc.2019.106048
    [16]
    CECEN R K, CETEK C, KAYA O. Aircraft sequencing and scheduling in TMAs under wind direction uncertainties[J]. The Aeronautical Journal, 2020, 124: 1896-1912. doi: 10.1017/aer.2020.68
    [17]
    王建忠, 丁小芹, 王树伟. 考虑潜在冲突的进离场航班协同排序[J]. 交通运输系统工程与信息, 2023, 23(5): 312-320.

    WANG J Z, DING X Q, WANG S W. Collaborative sequencing of arrival and departure aircraft considering potential conflicts[J]. Journal of Transportation Systems Engineering and Information Technology, 2023, 23 (5): 312-320. (in Chinese)
    [18]
    马园园, 胡明华, 尹嘉男, 等. 多机场终端区进离场交通流协同排序方法[J]. 航空学报, 2017, 38(2): 225-237.

    MA Y Y, HU M H, YIN J N, et al. Collaborative sequencing and scheduling method for arrival and departure traffic flow in multi-airport terminal areas[J]. Acta Aeronautica et Astronautica Sinica, 2017, 38(2): 225-237. (in Chinese)
    [19]
    XUE M, ZELINSKI S. Optimal integration of departures and arrivals in terminal airspace[J]. Journal of Guidance, Control, and Dynamics, 2014, 37(1): 207-213. doi: 10.2514/1.60489
    [20]
    张军峰, 葛腾腾, 郑志祥. 多机场终端区进离场航班协同排序研究[J]. 交通运输系统工程与信息, 2017, 17(2): 197-204.

    ZHANG J F, GE T T, ZHENG Z X. Collaborative arrival and departure sequencing for multi-airport terminal area[J]. Journal of Transportation Systems Engineering and Information Technology, 2017, 17(2): 197-204. (in Chinese)
    [21]
    XIA C Y, WEN Y, Hu M H, et al. Microscopic-level collaborative optimization framework for integrated arrival-departure and surface operations: integrated runway and taxiway aircraft sequencing and scheduling[J]. Aerospace, 2024, 11(12): 1042. doi: 10.3390/aerospace11121042
    [22]
    乐美龙, 吴宪晟, 胡钰明. 基于滚动时域控制的多路径进场航班排序优化[J]. 北京航空航天大学学报, 2023, 49(12): 3222-3229.

    LUE M L, WU X S, HU Y M. Arrival flights optimal sequencing with multi-path selection based on rolling horizon control[J]. Journal of Beijing University of Aeronautics and Astronautics, 2023, 49(12): 3222-3229. (in Chinese)
    [23]
    张兆宁, 刘珂璇. 基于替代航路的进场航班排序优化方法[J]. 数学的实践与认识, 2019, 49(12): 191-198.

    ZHANG Z N, LIU K X. Approach flight sequencing optimisation method based on alternative routes[J]. Journal of Mathematics in Practice and Theory, 2019, 49(12): 191-198. (in Chinese)
    [24]
    NG K, CHEN C H, LEE C K M. Mathematical programming formulations for robust airside terminal traffic flow optimisation problem[J]. Computers & Industrial Engineering, 2021, 154: 107119.
    [25]
    夏朝禹, 刘卫东, 胡明华, 等. 飞行区进离场航班跑道和滑行道双层协同优化调度方法[J]. 交通信息与安全, 2024, 42 (5): 42-53. doi: 10.3963/j.jssn.1674-4861.2024.05.005

    XIA C Y, LIU W D, HU M H, et al. Research on bi-layer coordinated optimization scheduling of runway and taxiway for arriving and departing flights in airfield area[J]. Journal of Transport Information and Safety, 2024, 42(5): 42-53. (in Chinese) doi: 10.3963/j.jssn.1674-4861.2024.05.005
    [26]
    HUO Y. Optimization of arrival air traffic in the terminal area and in the extended airspace[D]. Toulouse: Université Paul Sabatier-Toulouse Ⅲ, 2022.
    [27]
    XIA C Y, WU Z Y, YANG C R, et al. Combining arrival-departure scheduling with runway configuration mode switches[C]. IEEE 5th International Conference on Civil Aviation Safety and Information Technology, Dali: IEEE, 2023.
  • 加载中

Catalog

    通讯作者: 陈斌, bchen63@163.com
    • 1. 

      沈阳化工大学材料科学与工程学院 沈阳 110142

    1. 本站搜索
    2. 百度学术搜索
    3. 万方数据库搜索
    4. CNKI搜索

    Figures(10)  / Tables(5)

    Article Metrics

    Article views (10) PDF downloads(0) Cited by()
    Proportional views
    Related

    /

    DownLoad:  Full-Size Img  PowerPoint
    Return
    Return